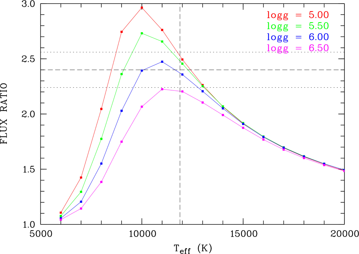
Fig. 12.

Balmer jump as a function of effective temperature measured in low-gravity model spectra (small filled squares connected by solid lines) between log g = 5.0 (top) and log g = 6.5 (bottom). The dashed vertical line indicates the effective temperature of CA078 (Sect. 6). Dashed and dotted horizontal lines indicate our observed value for CA078 and our estimated measurement uncertainty.
Current usage metrics show cumulative count of Article Views (full-text article views including HTML views, PDF and ePub downloads, according to the available data) and Abstracts Views on Vision4Press platform.
Data correspond to usage on the plateform after 2015. The current usage metrics is available 48-96 hours after online publication and is updated daily on week days.
Initial download of the metrics may take a while.