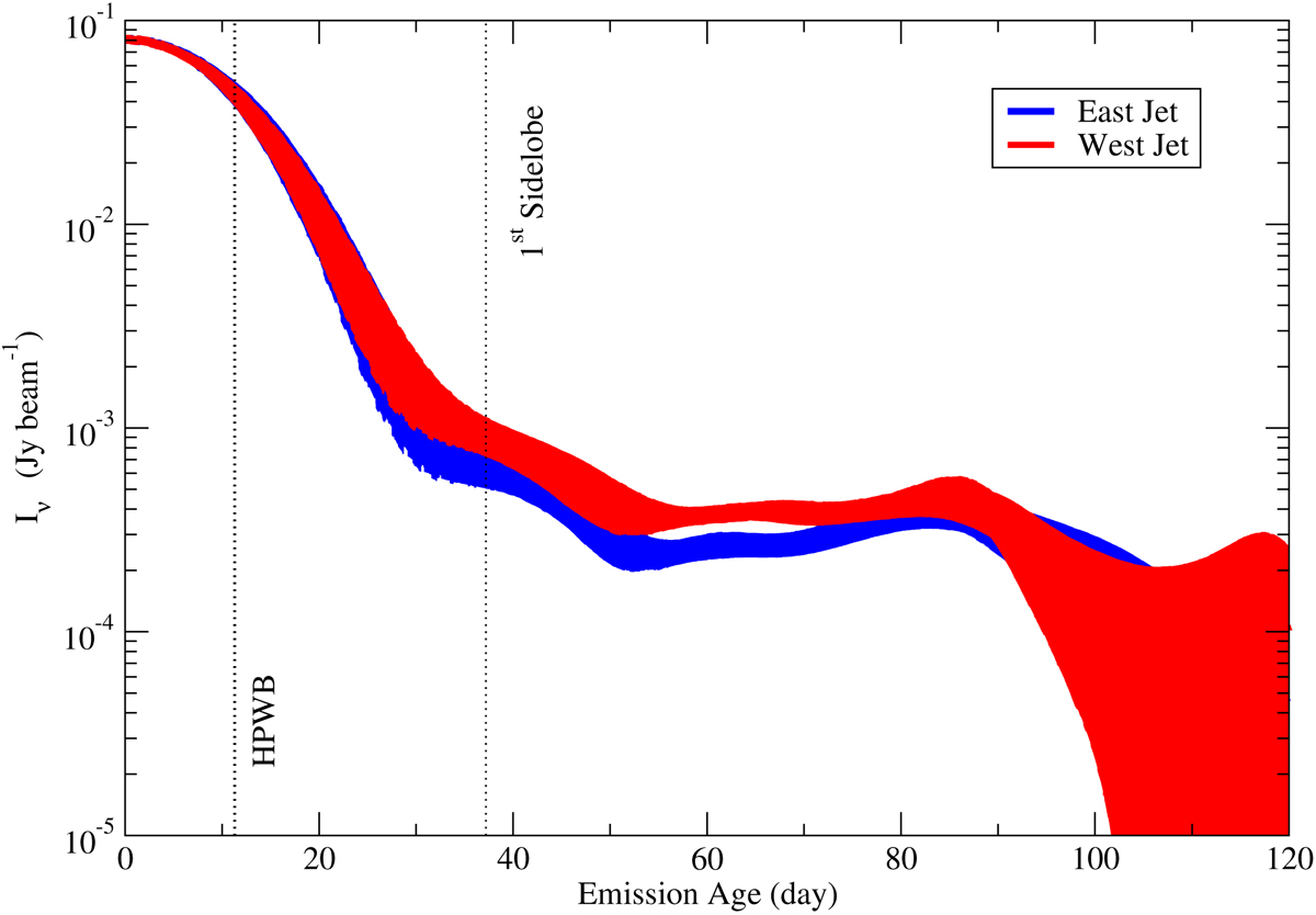
Fig. 3.

Observed brightness profile of the SS 433 jets on 2015 September 28 at the 1.3 mm wavelength. The uncorrected jet brightness values are plotted as a function of the emission age across the jet flow. The coloured bands outline the regions of uncertainty estimated as explained in the text. The vertical bars roughly correspond to the times needed by a young emerging blob to travel the half-power beam width of one synthesized beam and its first sidelobe. Blue and red are always used for the east and west jet sides, respectively.
Current usage metrics show cumulative count of Article Views (full-text article views including HTML views, PDF and ePub downloads, according to the available data) and Abstracts Views on Vision4Press platform.
Data correspond to usage on the plateform after 2015. The current usage metrics is available 48-96 hours after online publication and is updated daily on week days.
Initial download of the metrics may take a while.