Free Access
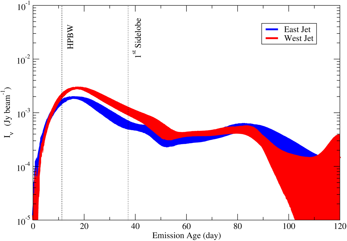
Fig. 5.

Intrinsic brightness profile of the SS 433 jets on 2015 September 28 plotted as in Fig. 3, but with Doppler boosting and projection effects being corrected. The central core has been modelled as a variable point source and fully subtracted in the Fourier plane, which causes the flux density to drop to zero at the origin.
Current usage metrics show cumulative count of Article Views (full-text article views including HTML views, PDF and ePub downloads, according to the available data) and Abstracts Views on Vision4Press platform.
Data correspond to usage on the plateform after 2015. The current usage metrics is available 48-96 hours after online publication and is updated daily on week days.
Initial download of the metrics may take a while.