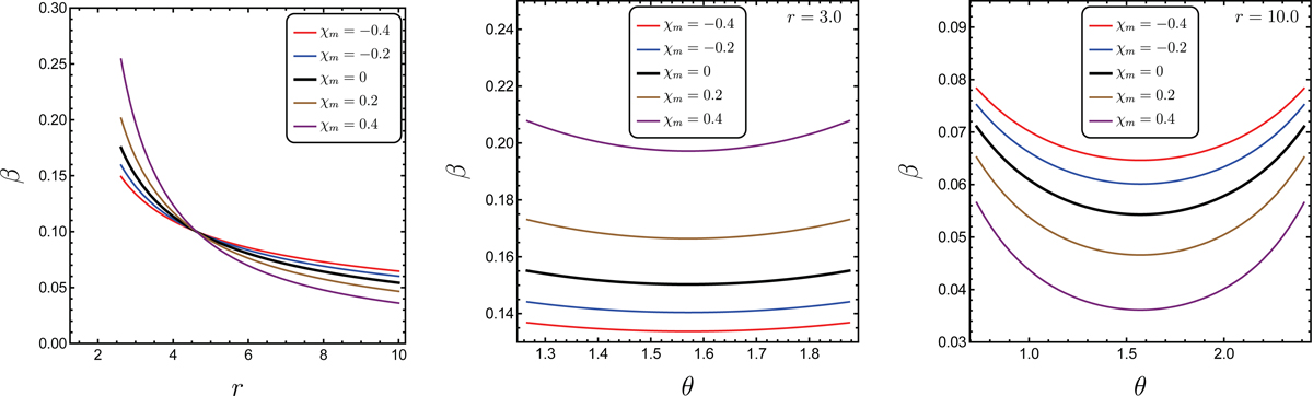
Fig. 2.

Magnetization parameter β as a function of the spatial coordinates for different values of magnetic susceptibility χm. The left panel describes the radial dependence of β on the equatorial plane (θ = π/2). The middle and right panels show the angular dependence of β at the position r = 3.0 and r = 10.0, respectively. The vertical dotted lines represent the boundaries of the disk.
Current usage metrics show cumulative count of Article Views (full-text article views including HTML views, PDF and ePub downloads, according to the available data) and Abstracts Views on Vision4Press platform.
Data correspond to usage on the plateform after 2015. The current usage metrics is available 48-96 hours after online publication and is updated daily on week days.
Initial download of the metrics may take a while.