Free Access

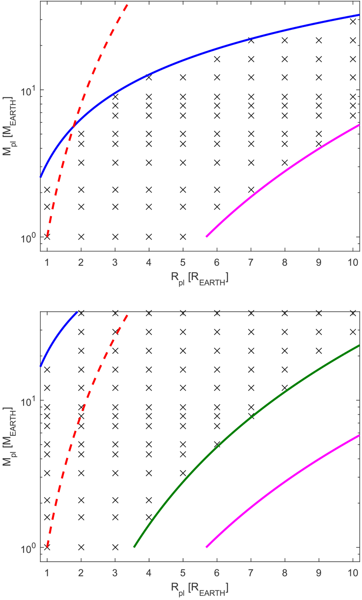
Fig. 1

image

Position of some of the modelled planets (black crosses) in the mass-radius diagram. All planets orbit a 1 M star and have an equilibrium temperature of 300 K (top panel) and 2000 K (bottom panel). The blue and magenta solid lines indicate the boundaries of the grid set by the cut on Λ and on bulk density, respectively. Since Λ depends on Teq, the top boundary is different in the different panels. The green solid line indicates the boundary of the grid set by the cut on the Roche lobe. The position of this boundary depends on the orbital separation, thus on Teq. For reference, the red dashed line indicates Earth’s density.

Current usage metrics show cumulative count of Article Views (full-text article views including HTML views, PDF and ePub downloads, according to the available data) and Abstracts Views on Vision4Press platform.

Data correspond to usage on the plateform after 2015. The current usage metrics is available 48-96 hours after online publication and is updated daily on week days.

Initial download of the metrics may take a while.