Free Access

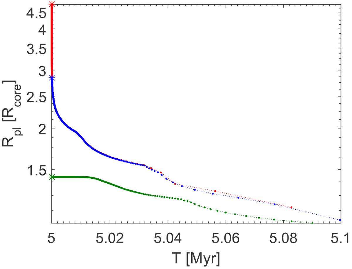
Fig. 10

image

Evolution of the planetary radius of CoRoT-7 b as a function of time. The colours indicate different initial radii, marked by the asterisks, which correspond to the values obtained by setting Λ = three (red), five (blue), and ten (green). The small dots placed along each line indicate the time steps.

Current usage metrics show cumulative count of Article Views (full-text article views including HTML views, PDF and ePub downloads, according to the available data) and Abstracts Views on Vision4Press platform.

Data correspond to usage on the plateform after 2015. The current usage metrics is available 48-96 hours after online publication and is updated daily on week days.

Initial download of the metrics may take a while.