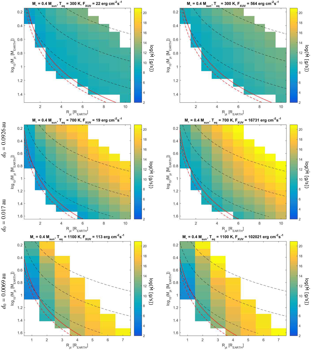
Fig. C.4

Same as Fig. 3, but for a stellar mass of 0.4 M⊙. In these plots, the temperature range was shifted to 300–1100 K, instead of 700–1500 K, to make the range of orbital separations comparable to that of other stellar masses and because of the cut on the Roche lobe for planets with an equilibrium temperature of 1500 K orbiting 0.4 M⊙ stars.
Current usage metrics show cumulative count of Article Views (full-text article views including HTML views, PDF and ePub downloads, according to the available data) and Abstracts Views on Vision4Press platform.
Data correspond to usage on the plateform after 2015. The current usage metrics is available 48-96 hours after online publication and is updated daily on week days.
Initial download of the metrics may take a while.