Free Access

Fig. 2

image

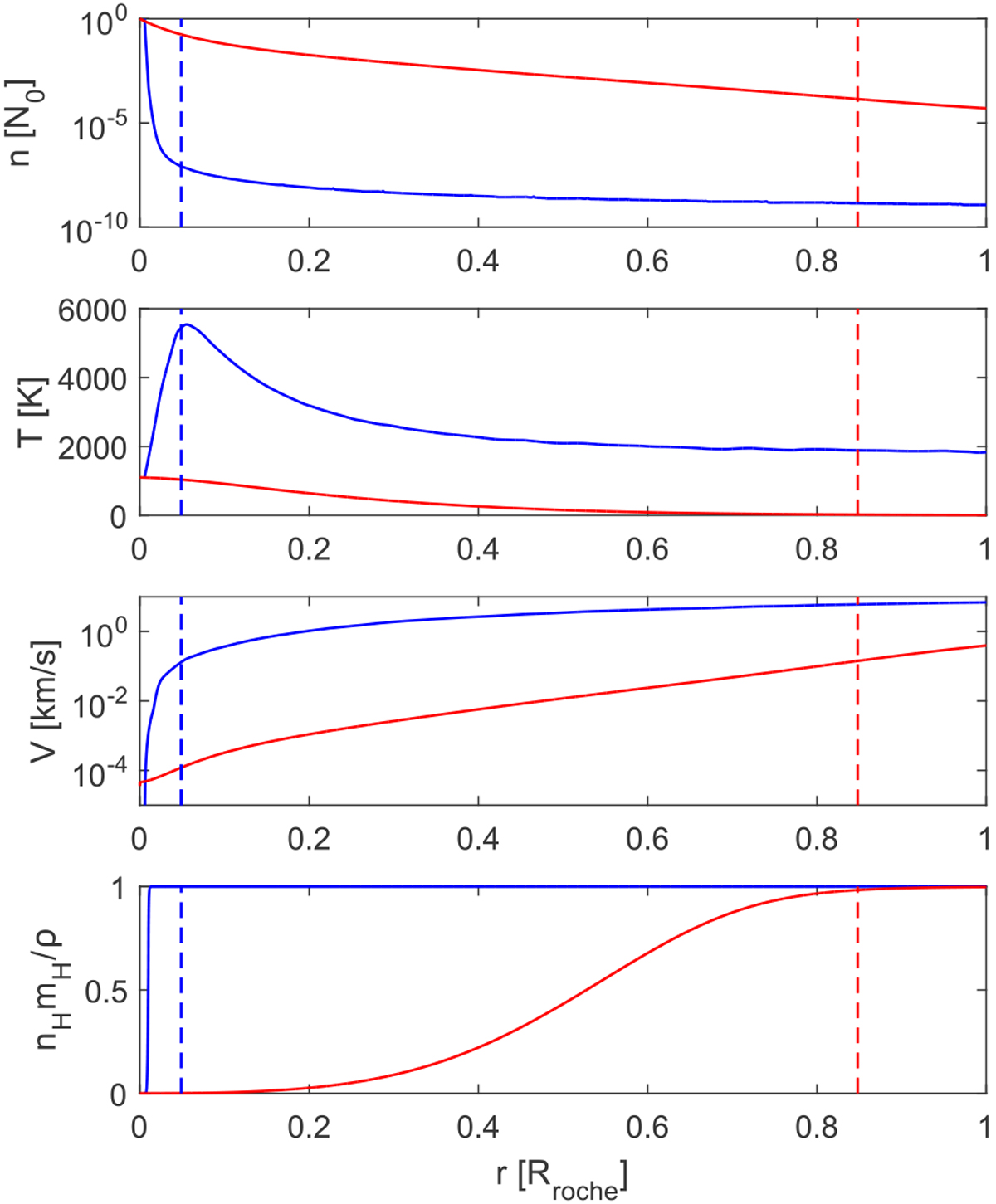
From top to bottom: atmospheric profiles for density, temperature, velocity, and fraction of atomic hydrogen for planets with Λ equal to 4.8 (red) and 66.7 (blue). Both planets orbit a 1 M star, have Teq = 1100 K and Rpl = 3 R, and are subject to an incident XUV flux of 92.6 erg cm−2 s−1. The planet with the lower Λ has a mass of 2.1 M, while the other one has a mass of 29.1 M. The density (top panel) is normalised to its value at Rpl. The blue and red dashed lines show the effective radii of the XUV absorption. To allow comparing planets with significantly different Roche radii, the x-axis is in units of the planetary Roche radii, starting from the planetary surface.

Current usage metrics show cumulative count of Article Views (full-text article views including HTML views, PDF and ePub downloads, according to the available data) and Abstracts Views on Vision4Press platform.

Data correspond to usage on the plateform after 2015. The current usage metrics is available 48-96 hours after online publication and is updated daily on week days.

Initial download of the metrics may take a while.