Free Access

Fig. 4

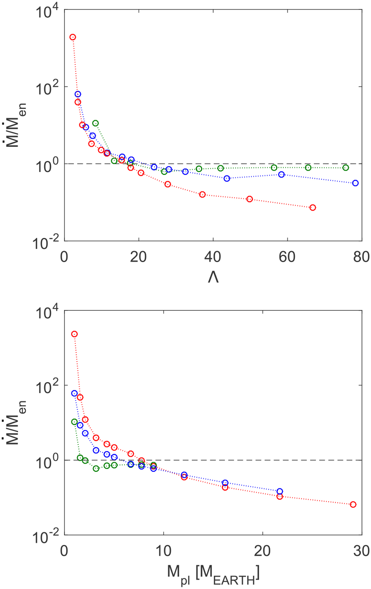
image

Ratio of the mass-loss rates computed with the hydrodynamic model to the energy-limited formula as a function of Λ (top panel) and Mpl (bottom panel). The green lines and circles are for systems with the following characteristics: M* = 1.0 M, Teq = 300 K, FXUV = 159.4 erg cm−2 s−1. The blue lines and circles are for systems with the following characteristics: M* = 1.0 M, Teq = 700 K, FXUV = 4900 erg cm−2 s−1. The red lines and circles are for systems with the following characteristics: M* = 1.0 M, Teq = 1100 K, FXUV = 30784 erg cm−2 s−1. The horizontal dotted line indicates the equality between the two values.

Current usage metrics show cumulative count of Article Views (full-text article views including HTML views, PDF and ePub downloads, according to the available data) and Abstracts Views on Vision4Press platform.

Data correspond to usage on the plateform after 2015. The current usage metrics is available 48-96 hours after online publication and is updated daily on week days.

Initial download of the metrics may take a while.