Open Access

Fig. 6.

image

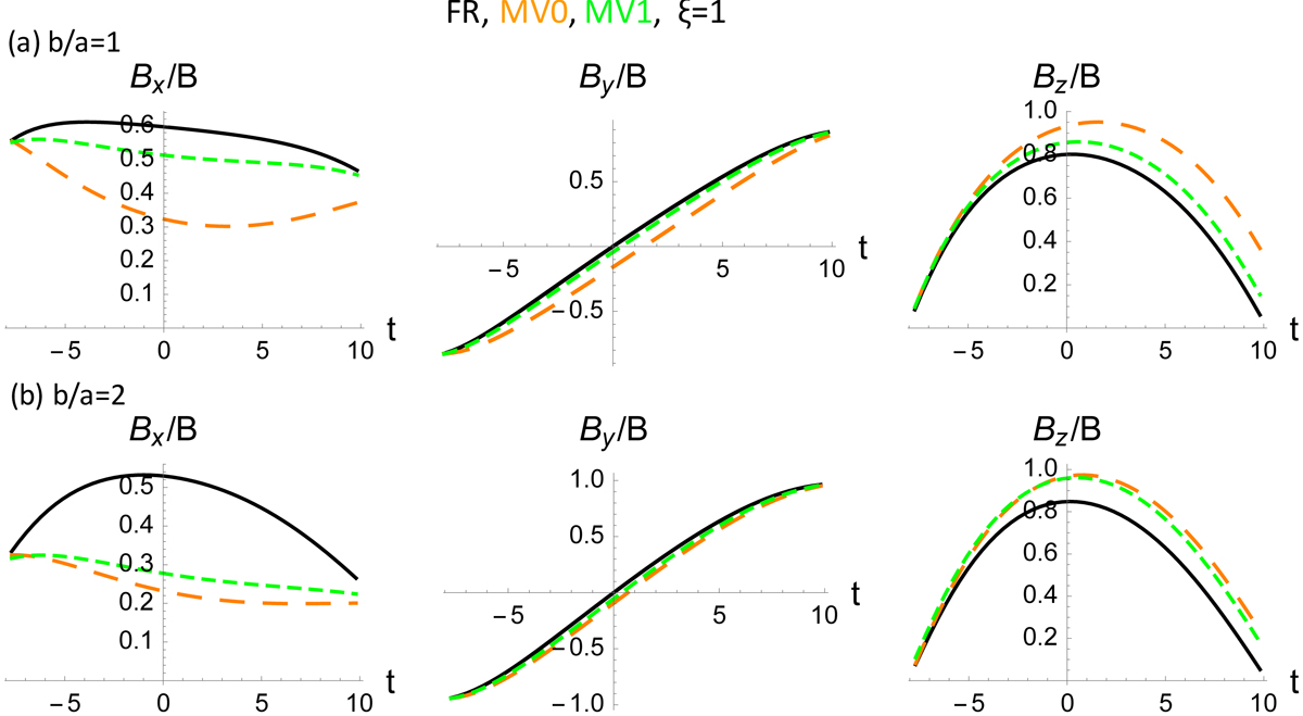
Magnetic field components versus time (in hour) in the FR frame (black), in the MV0 frame (orange, MV using B) and in the MV1 frame (green, MV using ) for FRs expanding with a typically observed rate (ζ = 1). A relatively large impact parameter, p = −0.5, is selected to show the differences. Panel a shows the results for a circular FR and panel b for an elliptical one. The other parameters are B0 = 1 at t = 0, Vc = 400 km s−1, b0 = 0.1 AU.

Current usage metrics show cumulative count of Article Views (full-text article views including HTML views, PDF and ePub downloads, according to the available data) and Abstracts Views on Vision4Press platform.

Data correspond to usage on the plateform after 2015. The current usage metrics is available 48-96 hours after online publication and is updated daily on week days.

Initial download of the metrics may take a while.