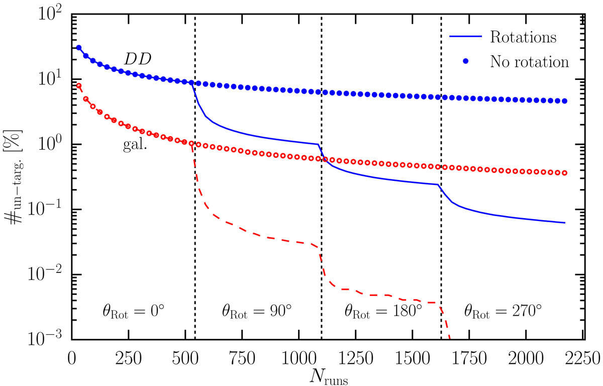
Fig. 3.

Fraction of unobservable galaxies and pairs of galaxies in the VIPERS parent catalogue as a function of the number of targeting runs Nruns. Points show the case when multiple survey realisations are generated only spatially moving the spectroscopic mask, while lines result from also rotating the parent catalogue by θRot. For the latter case, vertical dashed lines delimit the subset of targeting runs sharing the same θRot. Blue filled points and continuous line show the fraction of unobservable galaxy-galaxy pairs while red empty markers and dashed line correspond to individual galaxies.
Current usage metrics show cumulative count of Article Views (full-text article views including HTML views, PDF and ePub downloads, according to the available data) and Abstracts Views on Vision4Press platform.
Data correspond to usage on the plateform after 2015. The current usage metrics is available 48-96 hours after online publication and is updated daily on week days.
Initial download of the metrics may take a while.