Highlight
Free Access

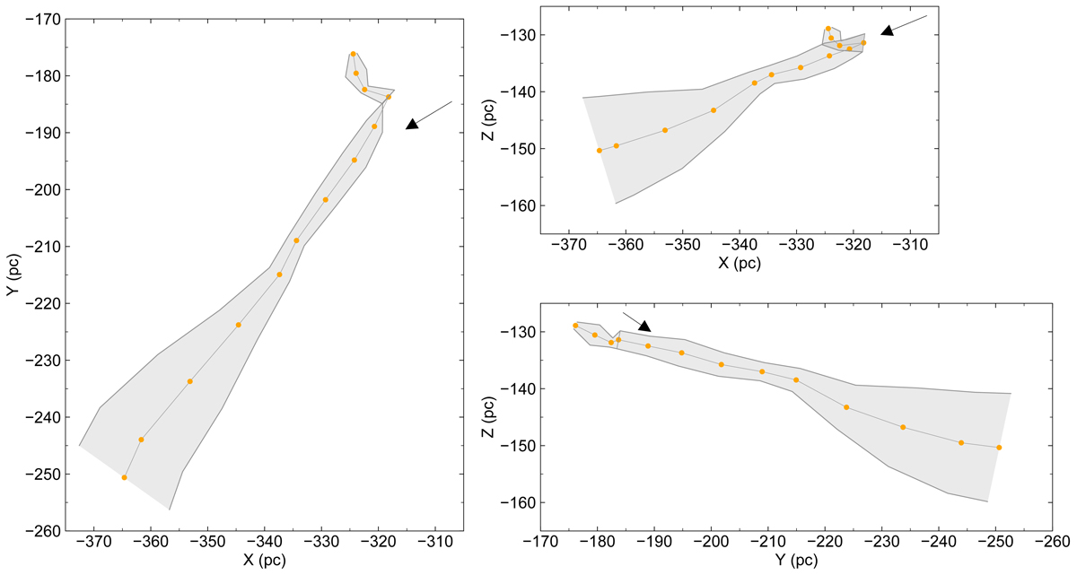
Fig. 5.

image

3D orientation of the Orion A GMC in Galactic cartesian coordinates (X positive toward the Galactic center, Y positive toward the Galactic east, Z positive toward the Galactic north). The orange dots represent the mean positions of YSOs per Δl (see Fig. 3), while only using those on top of high column-density. The gray shaded area shows an idealized 3D cloud shape in each projection at AK, Herschel  ≳ 0.57 mag (AV ≳ 5 mag), assuming a symmetric cylindrical shape, meaning that the filament is as deep as it is wide in the sky. For orientation, the black arrows indicate the line-of-sight from the Sun. Each arrow points toward (l, b)=(211.0, −19.5) plotted from d = 380 pc to 390 pc.

Current usage metrics show cumulative count of Article Views (full-text article views including HTML views, PDF and ePub downloads, according to the available data) and Abstracts Views on Vision4Press platform.

Data correspond to usage on the plateform after 2015. The current usage metrics is available 48-96 hours after online publication and is updated daily on week days.

Initial download of the metrics may take a while.