Free Access

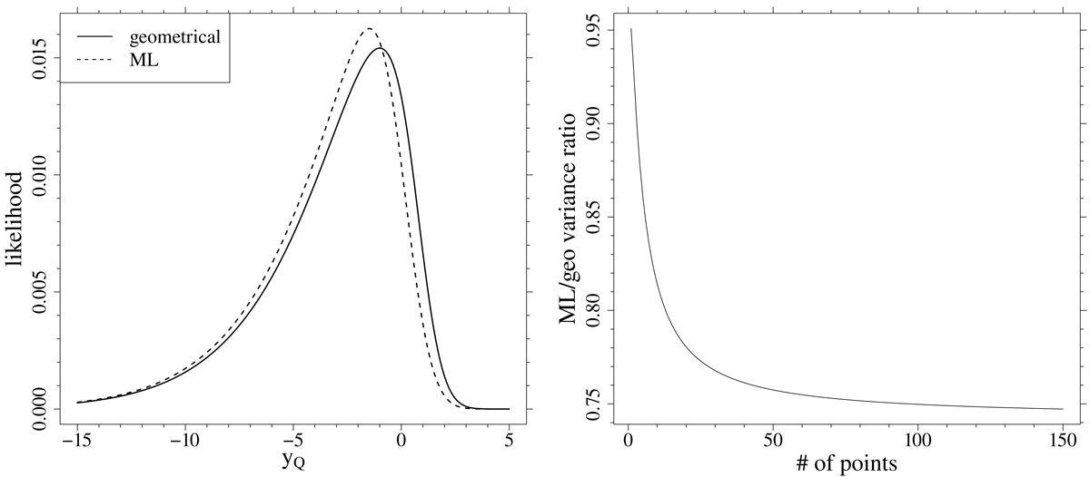
Fig. B.2.

image

Left panel: likelihood from the pure geometrical method (solid line) and for the ML method (dashed line) when varying the ordinate yQ of the observational data in the toy model (see text). Right panel: ratio of the ML to geometrical variance versus the sample size.

Current usage metrics show cumulative count of Article Views (full-text article views including HTML views, PDF and ePub downloads, according to the available data) and Abstracts Views on Vision4Press platform.

Data correspond to usage on the plateform after 2015. The current usage metrics is available 48-96 hours after online publication and is updated daily on week days.

Initial download of the metrics may take a while.