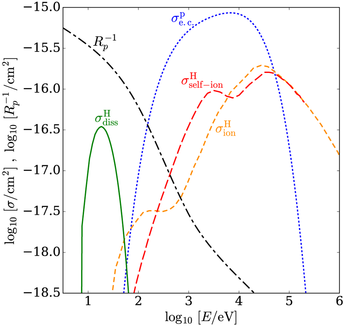
Fig. A.1

Cross sections of processes governing equilibrium distributions of protons and fast hydrogen atoms at low energies: electron capture by p (A.1, dotted blue line), ionisation of H2 by Hfast (A.2, short dashed orange line), self-ionisation of Hfast (A.3, long dashed red line), and H2 dissociation by Hfast (A.4, solid green line). The inverse of the proton stopping range, , is also plotted (black dot-dashed line).
Current usage metrics show cumulative count of Article Views (full-text article views including HTML views, PDF and ePub downloads, according to the available data) and Abstracts Views on Vision4Press platform.
Data correspond to usage on the plateform after 2015. The current usage metrics is available 48-96 hours after online publication and is updated daily on week days.
Initial download of the metrics may take a while.