Free Access
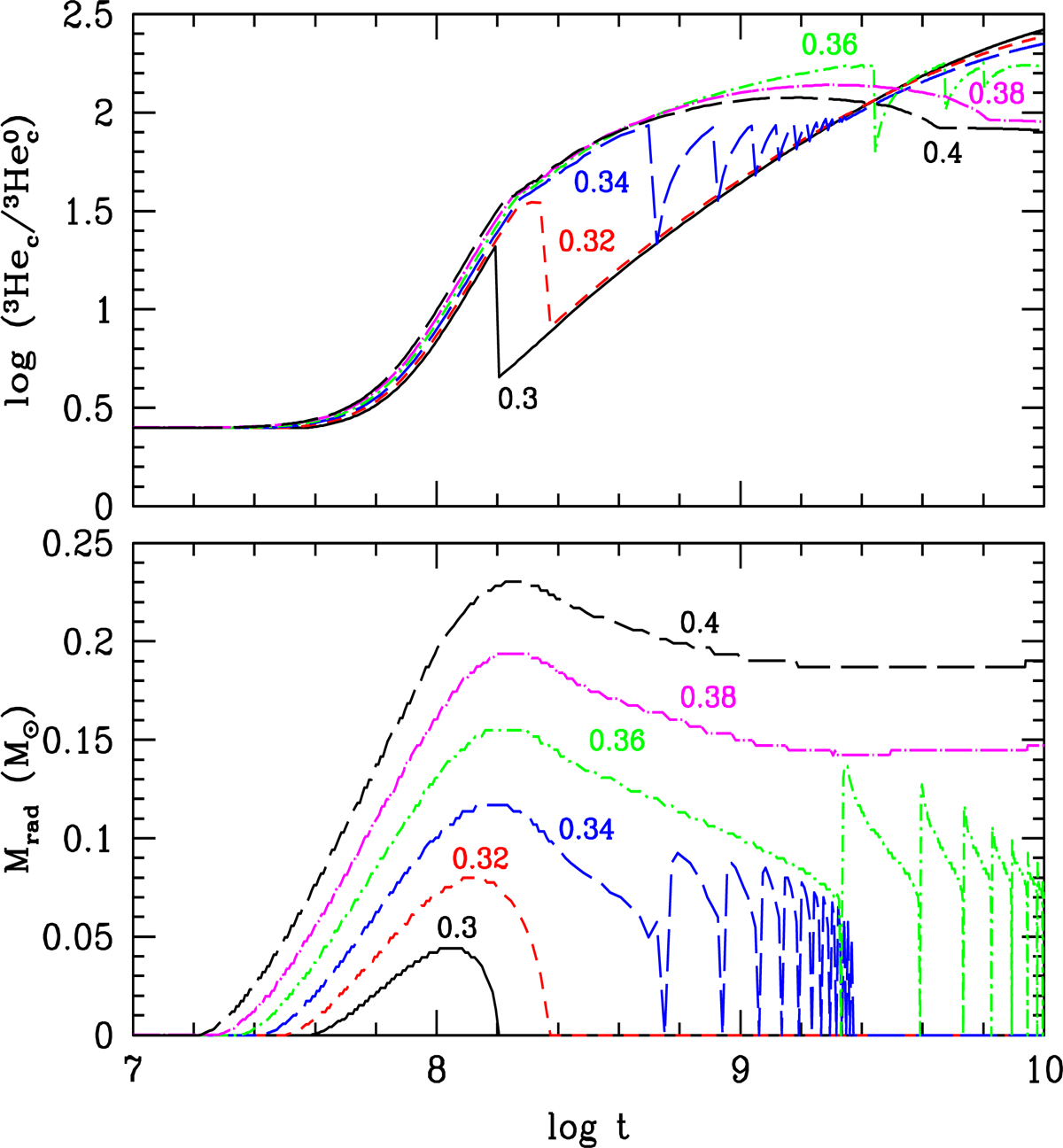
Fig. 2.

Top panel: evolution with time (in yr) of the central 3He abundance (in log and normalised to the initial 3He abundance 3He0 = 2 × 10−5 in mass fraction). Bottom panel: evolution of the mass of the radiative core. The masses are as in Fig. 1.
Current usage metrics show cumulative count of Article Views (full-text article views including HTML views, PDF and ePub downloads, according to the available data) and Abstracts Views on Vision4Press platform.
Data correspond to usage on the plateform after 2015. The current usage metrics is available 48-96 hours after online publication and is updated daily on week days.
Initial download of the metrics may take a while.