Open Access

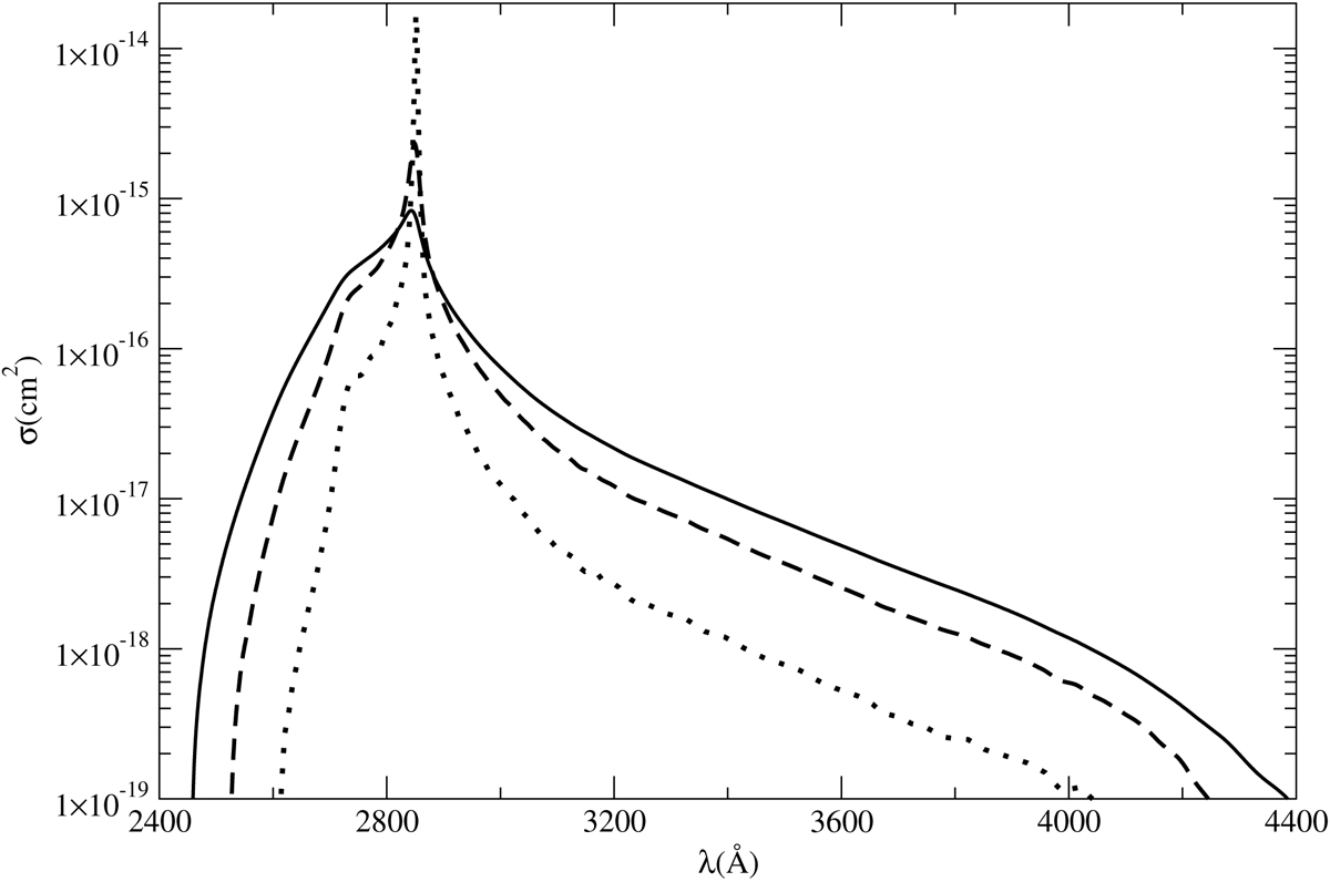
Fig. 6.

image

Theoretical absorption cross-sections of the MgHe line. The density of the perturbers is n He = 1022, 5 × 1021 and 1021 cm−3, from top to bottom. The temperature is 6000 K.

Current usage metrics show cumulative count of Article Views (full-text article views including HTML views, PDF and ePub downloads, according to the available data) and Abstracts Views on Vision4Press platform.

Data correspond to usage on the plateform after 2015. The current usage metrics is available 48-96 hours after online publication and is updated daily on week days.

Initial download of the metrics may take a while.