Free Access

Fig. 14

image

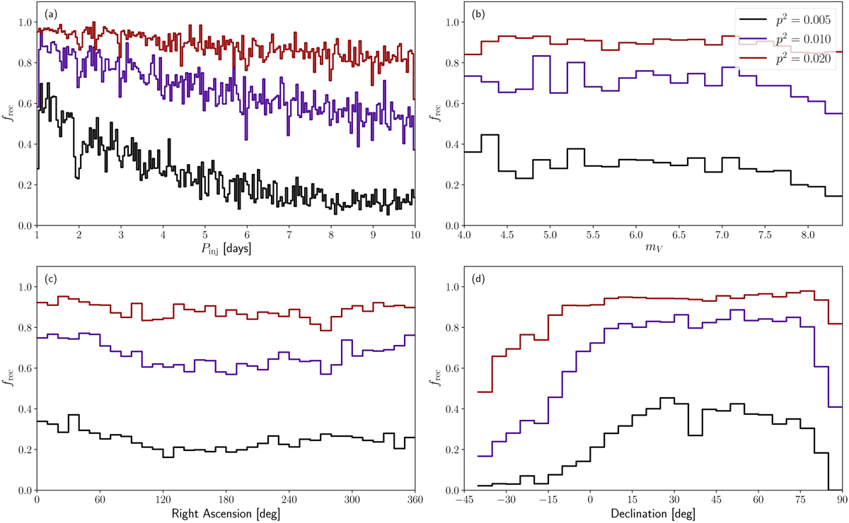
Fraction of transit signals recovered from three years of data from the La Palma station. Panels and curves are the same as in Fig. 13 with the exception of panel a, which now shows the data in 216 bins of 1 h.

Current usage metrics show cumulative count of Article Views (full-text article views including HTML views, PDF and ePub downloads, according to the available data) and Abstracts Views on Vision4Press platform.

Data correspond to usage on the plateform after 2015. The current usage metrics is available 48-96 hours after online publication and is updated daily on week days.

Initial download of the metrics may take a while.