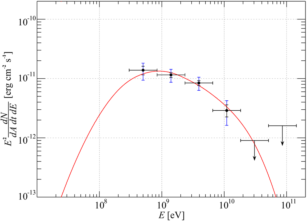
Fig. 4

Fermi-LAT γ-ray spectrum in the region of SNR Kes 41. The curve corresponds to the hadronic model fitted to the updated experimental data with a fixed spectral index Γp = 2. The statistical and systematic errors are represented by black and blue bars, respectively. Upper limits for the flux correspond to a 95% confidence level, obtained for TS values < 9.
Current usage metrics show cumulative count of Article Views (full-text article views including HTML views, PDF and ePub downloads, according to the available data) and Abstracts Views on Vision4Press platform.
Data correspond to usage on the plateform after 2015. The current usage metrics is available 48-96 hours after online publication and is updated daily on week days.
Initial download of the metrics may take a while.