Free Access
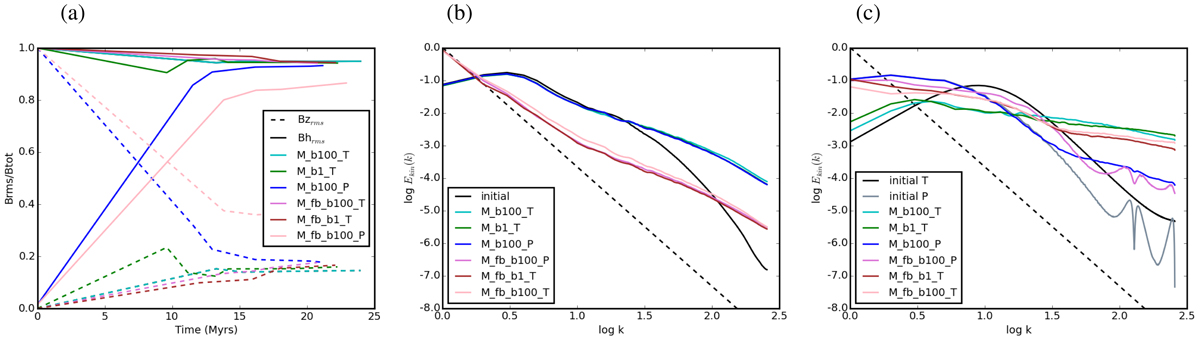
Fig. 2.

Panel a: relative strengths of the total vertical and horizontal rms magnetic fields with time, panel b: kinetic energy power spectra, and panel c: magnetic field power spectra. The black dashed lines in panels b and c show the Kolmogorov ∝k −11/3 dependence.
Current usage metrics show cumulative count of Article Views (full-text article views including HTML views, PDF and ePub downloads, according to the available data) and Abstracts Views on Vision4Press platform.
Data correspond to usage on the plateform after 2015. The current usage metrics is available 48-96 hours after online publication and is updated daily on week days.
Initial download of the metrics may take a while.