Free Access
Erratum
This article is an erratum for:
[https://doi.org/10.1051/0004-6361/201526104]


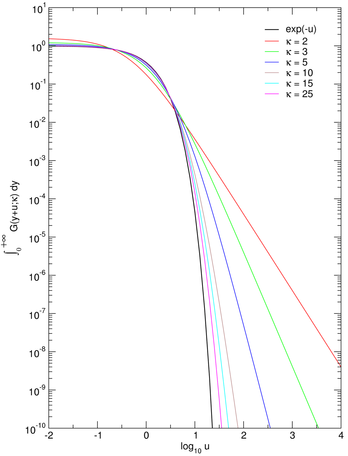
Fig. 1.

image

Variation of Integral (5) with κ as function of u. The solid black line represents eu which is overlapped by the integral as κ → ∞.

Current usage metrics show cumulative count of Article Views (full-text article views including HTML views, PDF and ePub downloads, according to the available data) and Abstracts Views on Vision4Press platform.

Data correspond to usage on the plateform after 2015. The current usage metrics is available 48-96 hours after online publication and is updated daily on week days.

Initial download of the metrics may take a while.