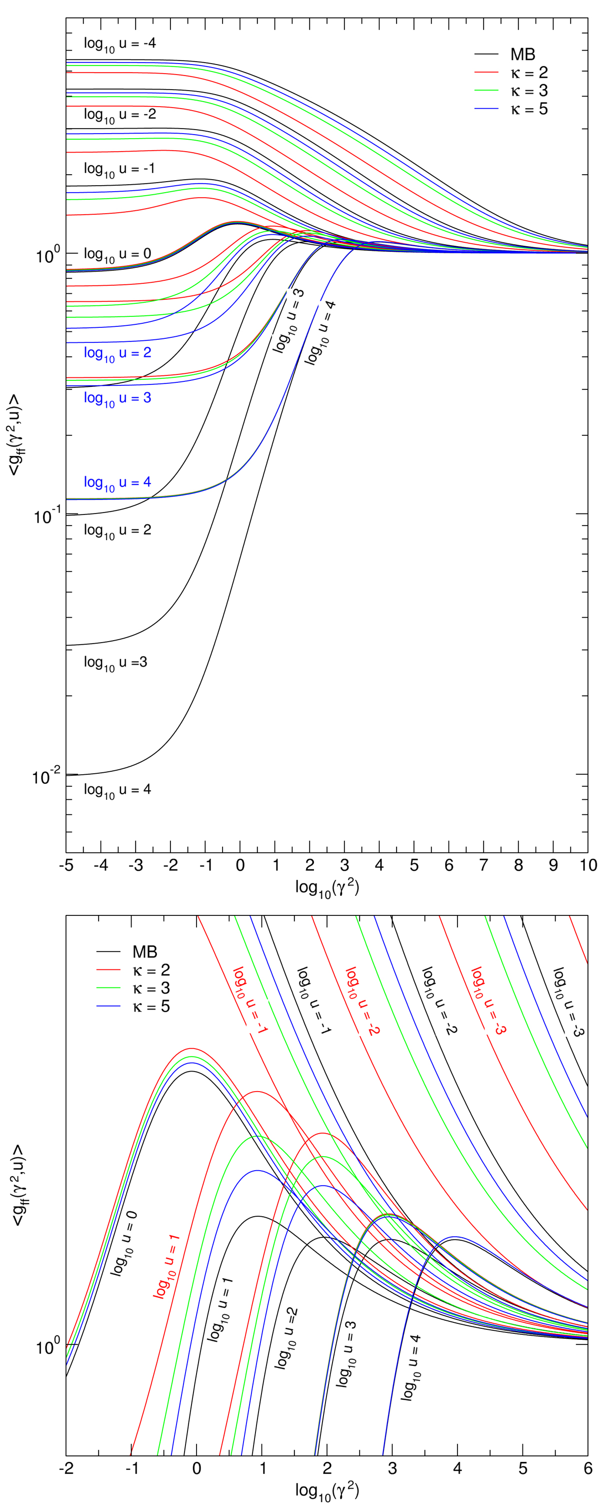
Fig. 2.

Temperature-averaged Gaunt factors calculated for κ = 2, 3, 5 and MB (black line in both panels) distributions of electrons for the range 10−5 ≤ γ2 ≤ 1010 (top panel) and a magnification of the region γ2 ∈ [10−2, 106] and ⟨gf f(γ2, u)⟩ ∈ [0.9, 1.5] (bottom panel).
Current usage metrics show cumulative count of Article Views (full-text article views including HTML views, PDF and ePub downloads, according to the available data) and Abstracts Views on Vision4Press platform.
Data correspond to usage on the plateform after 2015. The current usage metrics is available 48-96 hours after online publication and is updated daily on week days.
Initial download of the metrics may take a while.