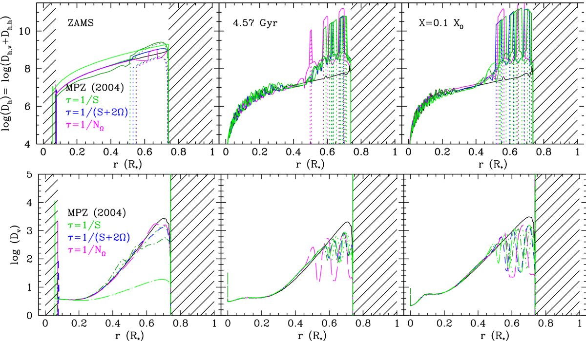
Fig. 2.

Top row: total horizontal turbulent diffusivity Dh (full line) and its Dh,v component (when active if Re > Re;c; dotted lines) for the 1.0 M⊙, Z⊙ models described in Table 2 at three evolutionary stages (from left to right: ZAMS, age of the Sun, and when the central H mass fraction is reduced to 10% of its original value). The hatched areas correspond to the convective regions. Bottom row: vertical turbulent diffusion coefficient in the same models.
Current usage metrics show cumulative count of Article Views (full-text article views including HTML views, PDF and ePub downloads, according to the available data) and Abstracts Views on Vision4Press platform.
Data correspond to usage on the plateform after 2015. The current usage metrics is available 48-96 hours after online publication and is updated daily on week days.
Initial download of the metrics may take a while.