Free Access
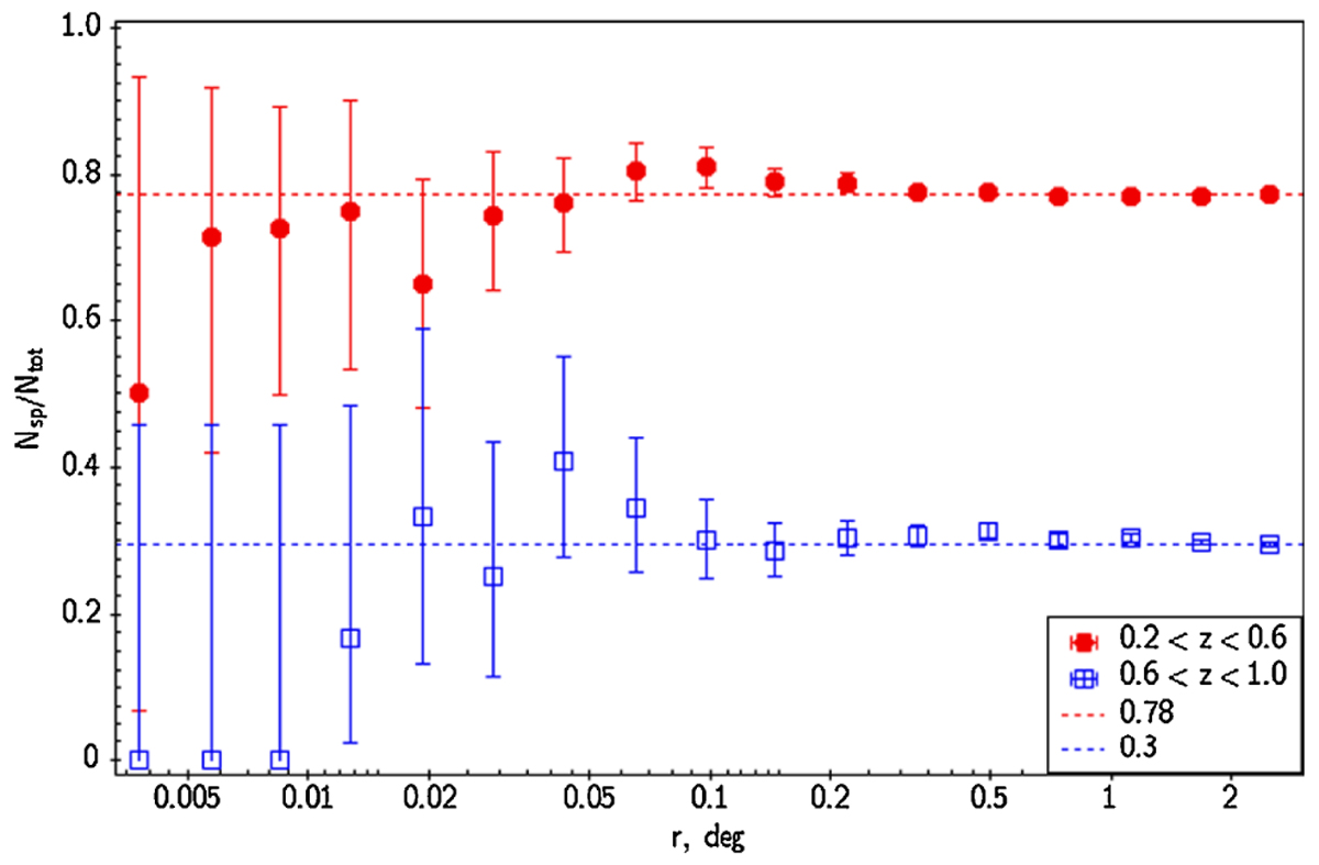
Fig. 9

Ratio between the numbers of X-ray point-like sources with spectroscopic redshifts (Nsp) and the whole sample (Ntot) for different angular radii r around the X-ray clusters.
Current usage metrics show cumulative count of Article Views (full-text article views including HTML views, PDF and ePub downloads, according to the available data) and Abstracts Views on Vision4Press platform.
Data correspond to usage on the plateform after 2015. The current usage metrics is available 48-96 hours after online publication and is updated daily on week days.
Initial download of the metrics may take a while.