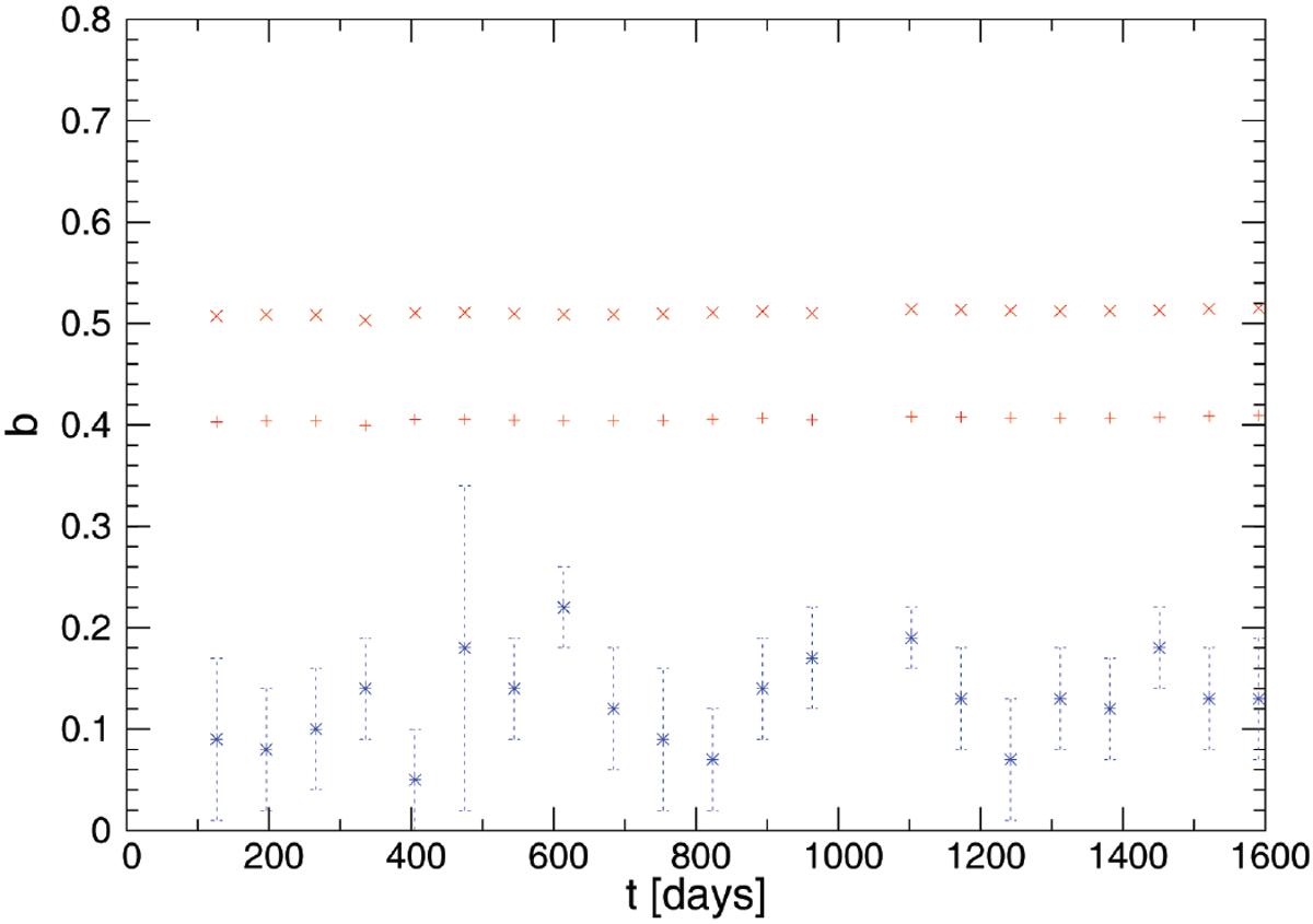
Fig. 6

Impact parameter b, computedas the fraction of the star radius at which the point representing the planet sits when it transits. The upper (red) crosses are computed considering a stellar radius R⋆ = 1.39 R⊙. The set of pluses correspond to a stellar radius R⋆ = 1.75 R⊙. The lower (blue) crosses with error bars are the values obtained by D14 with the TAP software (Gazak et al. 2012).
Current usage metrics show cumulative count of Article Views (full-text article views including HTML views, PDF and ePub downloads, according to the available data) and Abstracts Views on Vision4Press platform.
Data correspond to usage on the plateform after 2015. The current usage metrics is available 48-96 hours after online publication and is updated daily on week days.
Initial download of the metrics may take a while.