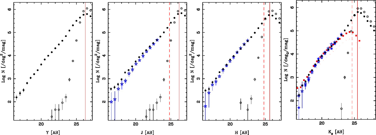
Fig. 5.

Galaxy number counts in the four bands of WUDS. Black filled circles display the results in the WUDS field. Results from Cristóbal-Hornillos et al. (2009; open stars), Cristóbal-Hornillos et al. (2003; filled stars) and Laigle et al. (2016; red points) are also shown for comparison. Open circles display the results obtained on the negative images, as an indication of contamination by spurious sources. Error bars correspond to 1σ Poissonian errors. Vertical solid and dashed lines indicate the 50% completeness levels for point sources in WUDS and extended (WIRDS) areas respectively.
Current usage metrics show cumulative count of Article Views (full-text article views including HTML views, PDF and ePub downloads, according to the available data) and Abstracts Views on Vision4Press platform.
Data correspond to usage on the plateform after 2015. The current usage metrics is available 48-96 hours after online publication and is updated daily on week days.
Initial download of the metrics may take a while.