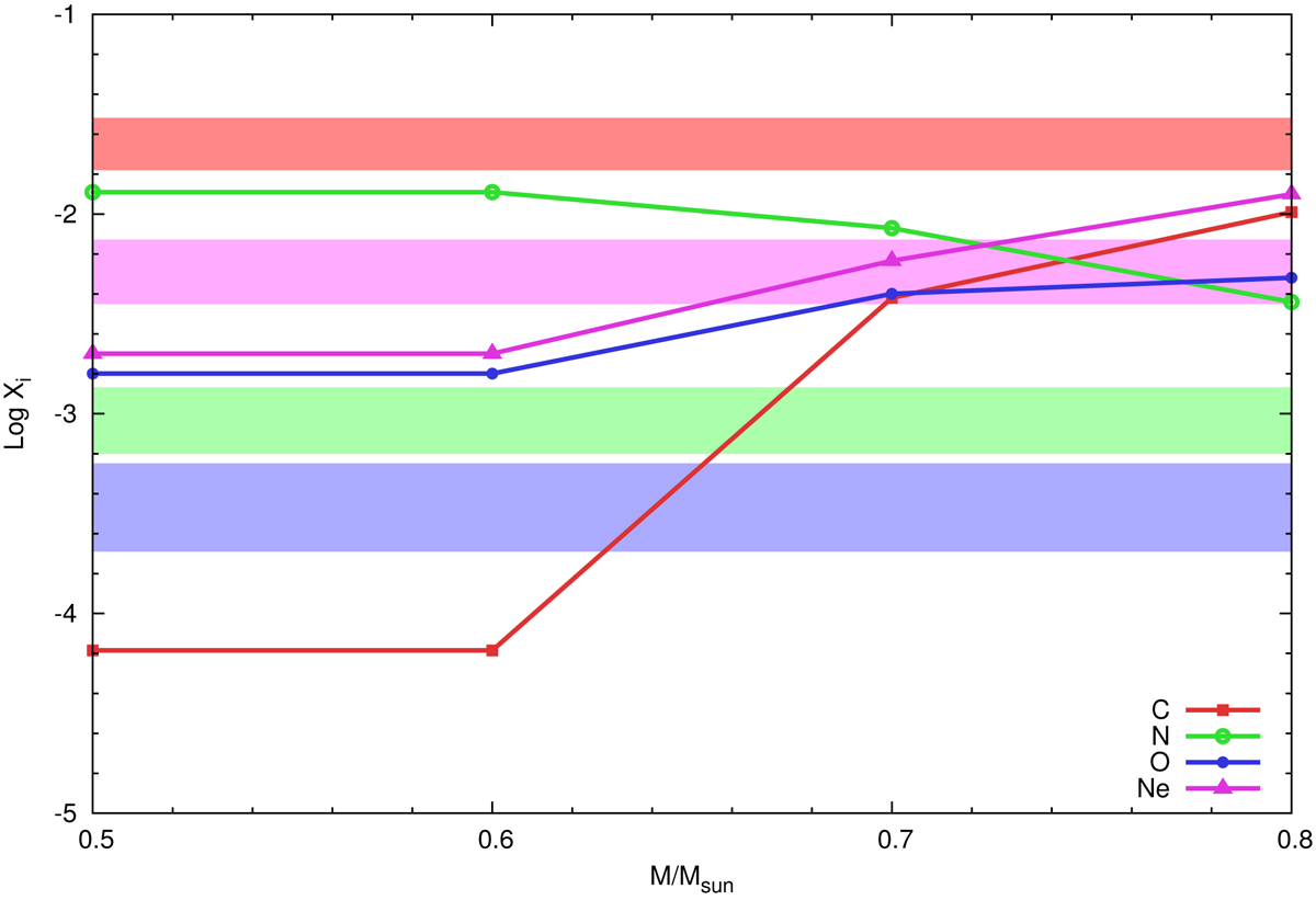
Fig. 10.

Chemical abundances by mass for carbon (12C+13C), nitrogen (14N), oxygen (16O+18O), and neon (20Ne+22Ne) predicted by composite merger models (Zhang & Jeffery 2012) as a function of the merger mass (solid colored lines) for a metallicity of z = 0.02, The horizontal bands represent the abundances and their uncertainties determined for [CW83] 0904−02.
Current usage metrics show cumulative count of Article Views (full-text article views including HTML views, PDF and ePub downloads, according to the available data) and Abstracts Views on Vision4Press platform.
Data correspond to usage on the plateform after 2015. The current usage metrics is available 48-96 hours after online publication and is updated daily on week days.
Initial download of the metrics may take a while.