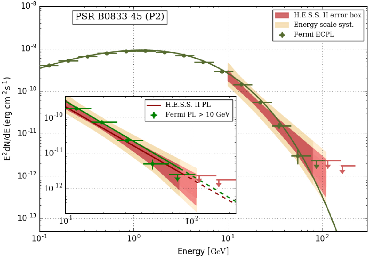
Fig. 5.

Spectral energy distribution of the second peak, P2, of the Vela pulsar. The fit to the Fermi-LAT data above 100 MeV is shown as a dark green curve and points in the main frame. Red indicates the error box in the 10–110 GeV energy range for the power-law fits to H.E.S.S. II data. It consists of the union of 1σ statistical uncertainty confidence intervals obtained through the systematic error investigation procedure, including results from both analysis configurations, Cuts I and II (see Appendix B.1). The lighter colour above 80 GeV corresponds to the range where the significance of detection is difficult to assess precisely (see text). The error box has been extended to include a ±10% systematic error on the absolute energy scale. An upper limit of 8% on the relative shift in the absolute energy scales of the two instruments can be inferred based on the excellent agreement between the indices obtained under the power-law hypothesis (PWL). The inset shows the PWL fit to the Fermi-LAT data in solid green, and the H.E.S.S. II best-fit power law as a dark red line. Both are extrapolated above 80 GeV by dashed lines only to ease readability. The favoured hypothesis is a power law with an exponential cut-off (ECPL; see Table 3). All upper limits are derived as 99.7% confidence intervals.
Current usage metrics show cumulative count of Article Views (full-text article views including HTML views, PDF and ePub downloads, according to the available data) and Abstracts Views on Vision4Press platform.
Data correspond to usage on the plateform after 2015. The current usage metrics is available 48-96 hours after online publication and is updated daily on week days.
Initial download of the metrics may take a while.