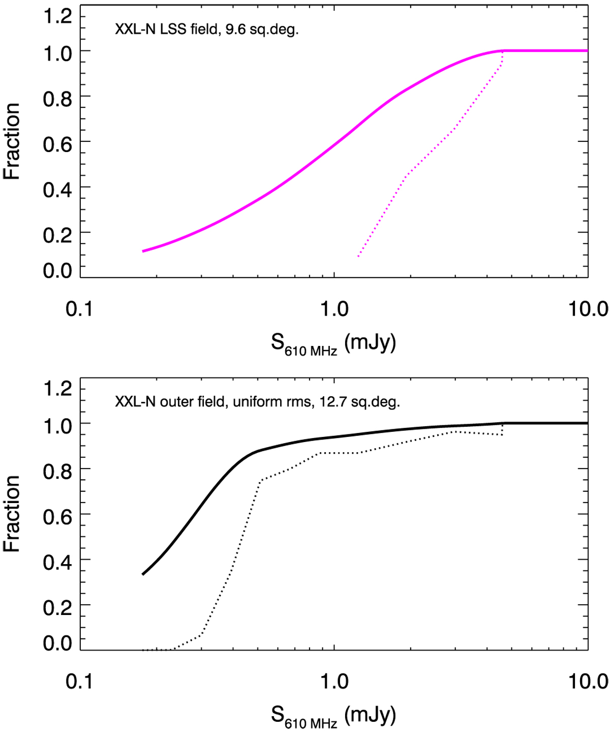
Fig. 13

Detection fraction as a function of 610 MHz flux density relative to the VLA-COSMOS 3 GHz Large Project (dashed line) for the inner area (9.6 square degrees, coincident with the XMM-LSS field; top panel) and outer area (12.66 square degree) areas. Also shown is the completeness (i.e. the detection fraction in a given bin and that above the given flux bin lower limit) as a function of flux density (full line).
Current usage metrics show cumulative count of Article Views (full-text article views including HTML views, PDF and ePub downloads, according to the available data) and Abstracts Views on Vision4Press platform.
Data correspond to usage on the plateform after 2015. The current usage metrics is available 48-96 hours after online publication and is updated daily on week days.
Initial download of the metrics may take a while.