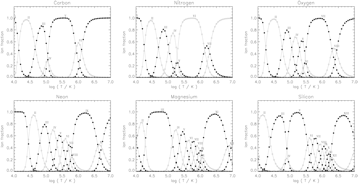
Fig. A.1

Ionisation fractions of carbon (upper left panel), nitrogen (upper middle panel), oxygen (upper right panel), neon (lower left panel), magnesium (lower middle panel), and silicon (lower right panel) as a function of temperature (from CHIANTI’s default collisional ionisation equilibria tables “chianti.ioneq”). For each element, the sum of all ionisation fractions at a given temperature equals one.
Current usage metrics show cumulative count of Article Views (full-text article views including HTML views, PDF and ePub downloads, according to the available data) and Abstracts Views on Vision4Press platform.
Data correspond to usage on the plateform after 2015. The current usage metrics is available 48-96 hours after online publication and is updated daily on week days.
Initial download of the metrics may take a while.