Free Access
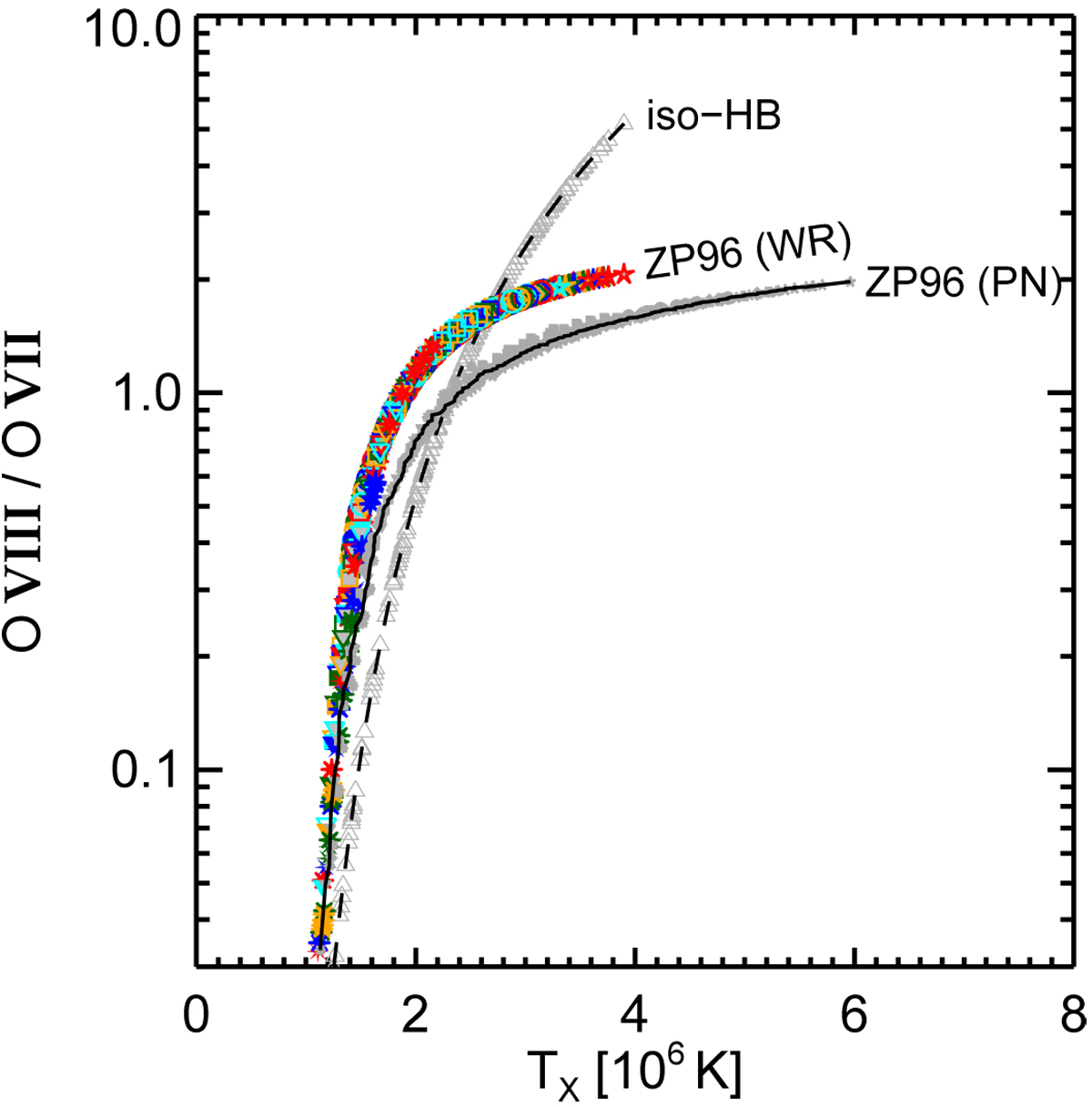
Fig. 6

Same as in the top left panel of Fig. 5 but now including also bubble models with hydrogen-rich PN-matter (symbols with black central line, C = 6.0 × 10−7 erg cm−1 s−1 K7∕2), and single-temperature bubbles (iso-HB, small triangles).
Current usage metrics show cumulative count of Article Views (full-text article views including HTML views, PDF and ePub downloads, according to the available data) and Abstracts Views on Vision4Press platform.
Data correspond to usage on the plateform after 2015. The current usage metrics is available 48-96 hours after online publication and is updated daily on week days.
Initial download of the metrics may take a while.