Highlight
Free Access

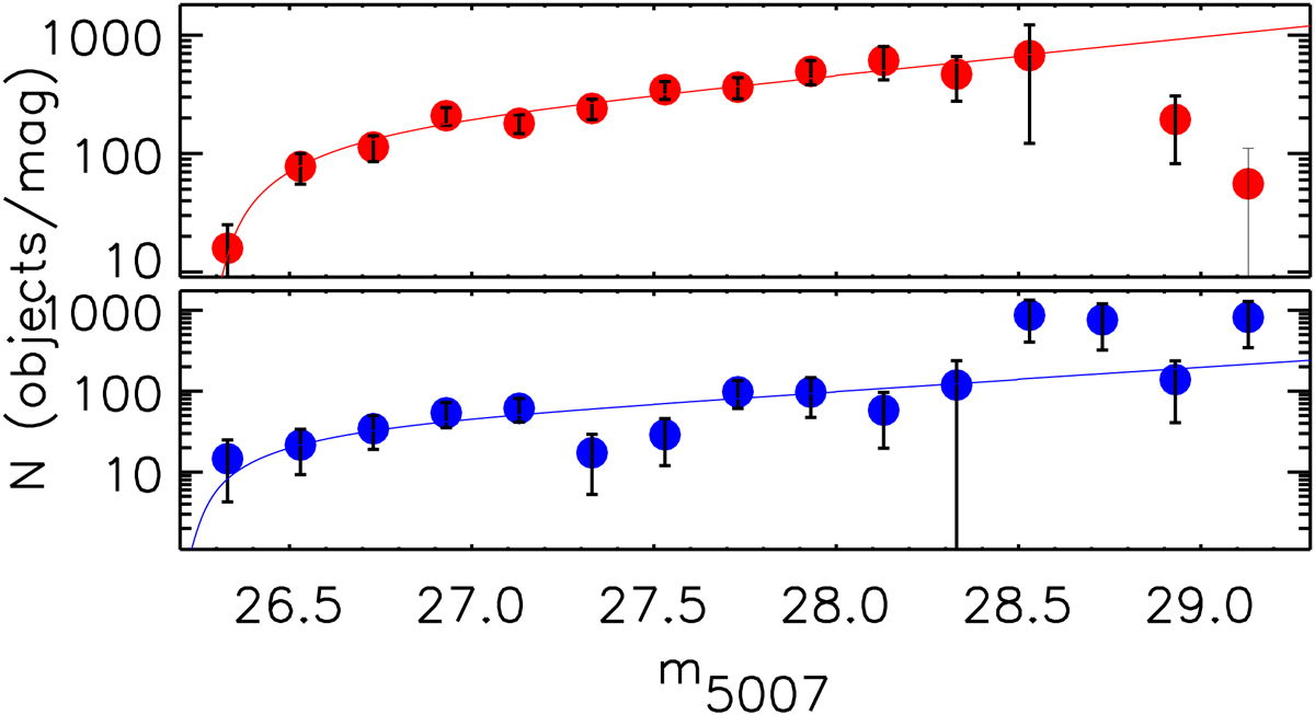
Fig. 5.

image

Top: luminosity function of the M 87 halo PNs (red circles) together with the fit of the generalised analytic formula to the halo PNLF, with c2 = 0.72 and bright cut-off at magnitude 26.3. After the statistical subtraction of the reassessed ICL component no residual of a dip is seen. Bottom: PNLF for the ICPNs (blue circles). The blue line shows the fit of the generalised analytic formula to the ICPNLF, with c2 = 0.66 and bright cut-off magnitude at 26.3. The statistical significance of the dip at 1−1.5 mag fainter than the bright cut-off is enhanced compared to Longobardi et al. (2015a).

Current usage metrics show cumulative count of Article Views (full-text article views including HTML views, PDF and ePub downloads, according to the available data) and Abstracts Views on Vision4Press platform.

Data correspond to usage on the plateform after 2015. The current usage metrics is available 48-96 hours after online publication and is updated daily on week days.

Initial download of the metrics may take a while.