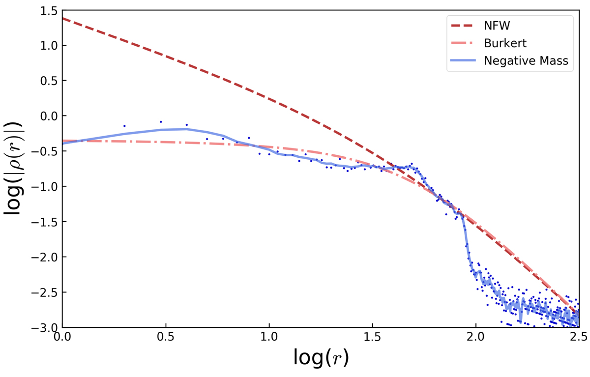
Fig. 4.

Magnitude of the density profile as a function of radius from the galactic centre, as extracted from the N-body simulations. The density profiles shown are: (i) as empirically determined for a negative mass cosmology from the N-body simulations (in blue), (ii) for a NFW profile (in dark red), and (iii) for an observationally motivated Burkert profile (in light red). The negative mass density profile is calculated in equally-spaced radial bins, with the measurements indicated by data points and overplotted with a moving average to guide the eye. The simulated dark matter halo is non-cuspy and best described by the Burkert profile. Beyond the radius of the negative mass halo, the radial profile of the diffuse negative mass background becomes visible. The sharp cut-off to the density profile at the edge of the halo may be further modified by matter creation. Negative masses can therefore simply reproduce the key features of observed dark matter density profiles in real galaxies.
Current usage metrics show cumulative count of Article Views (full-text article views including HTML views, PDF and ePub downloads, according to the available data) and Abstracts Views on Vision4Press platform.
Data correspond to usage on the plateform after 2015. The current usage metrics is available 48-96 hours after online publication and is updated daily on week days.
Initial download of the metrics may take a while.