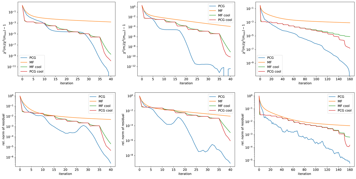
Fig. 4.

Comparison of the convergence for the PCG, the messenger-field methods stand-alone and incorporated within a cooling scheme, for the first, second, and third simulated data sets (from left to right panels, respectively), assuming a low noise level. The cooling scheme is 8 × 5 for the first and second data sets and 16 × 10 for the third.
Current usage metrics show cumulative count of Article Views (full-text article views including HTML views, PDF and ePub downloads, according to the available data) and Abstracts Views on Vision4Press platform.
Data correspond to usage on the plateform after 2015. The current usage metrics is available 48-96 hours after online publication and is updated daily on week days.
Initial download of the metrics may take a while.