Open Access
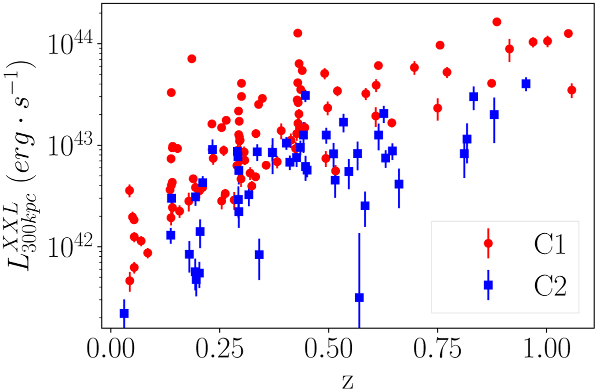
Fig. 1
X-rayluminosity in the [0.5−2] keV band computed in a 300 kpc aperture as a function of redshift for the cluster sample used in this study. Red points and blue squares represent clusters classified as C1 and C2, respectively (see text).
Current usage metrics show cumulative count of Article Views (full-text article views including HTML views, PDF and ePub downloads, according to the available data) and Abstracts Views on Vision4Press platform.
Data correspond to usage on the plateform after 2015. The current usage metrics is available 48-96 hours after online publication and is updated daily on week days.
Initial download of the metrics may take a while.