Free Access
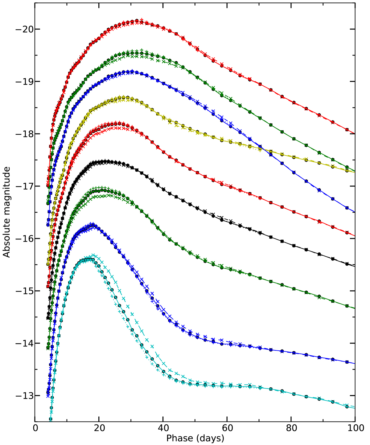
Fig. 17.

Broad-band and bolometric lightcurve for model 12C as calculated with JEKYLL using two (dashed lines and crosses), four (solid lines and circles) and eight (dotted lines and pluses) Λ-iterations per time-step. Otherwise as described in Fig. 12.
Current usage metrics show cumulative count of Article Views (full-text article views including HTML views, PDF and ePub downloads, according to the available data) and Abstracts Views on Vision4Press platform.
Data correspond to usage on the plateform after 2015. The current usage metrics is available 48-96 hours after online publication and is updated daily on week days.
Initial download of the metrics may take a while.