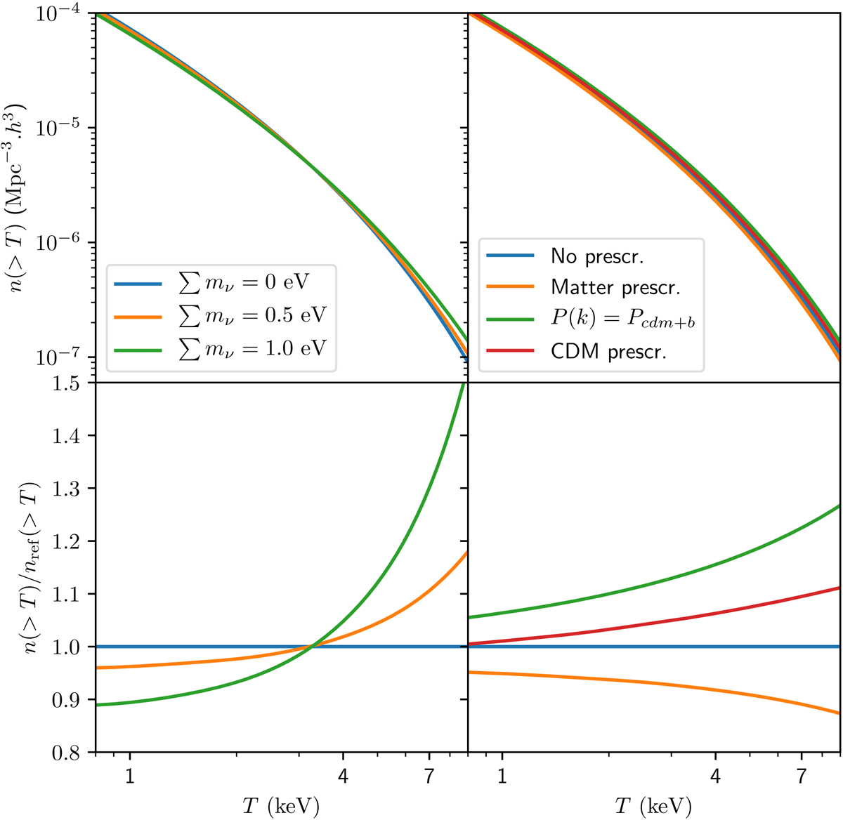
Fig. 1.

Temperature distribution functions (top panels) and ratios with respect to the blue reference model (bottom panels). Left panels: effect of massive neutrinos (no neutrino prescription used, σ8 and Ωm kept constant) while the ones on the right show the effects of the various steps of the neutrino prescription for a given neutrino mass (∑mν = 0.5 eV).
Current usage metrics show cumulative count of Article Views (full-text article views including HTML views, PDF and ePub downloads, according to the available data) and Abstracts Views on Vision4Press platform.
Data correspond to usage on the plateform after 2015. The current usage metrics is available 48-96 hours after online publication and is updated daily on week days.
Initial download of the metrics may take a while.