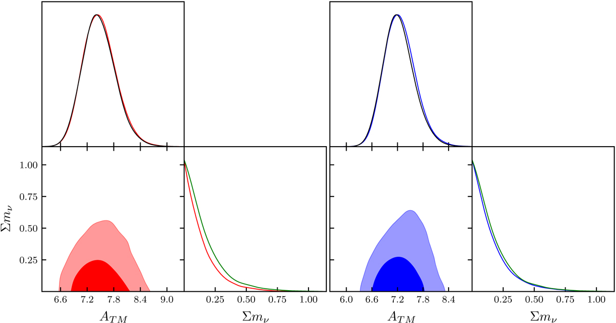
Fig. 5.

Confidence contours (68/95%) and posterior distributions for the AT − M and ∑mν parameters for our two choices of mass functions (T08 in red and D16 in blue) with the Mvir cluster mass definition. The green AT − M posteriors correspond to the case where the neutrino mass is fixed to the standard 0.06 eV value. The black ∑mν posterior comes from the CMB-only case.
Current usage metrics show cumulative count of Article Views (full-text article views including HTML views, PDF and ePub downloads, according to the available data) and Abstracts Views on Vision4Press platform.
Data correspond to usage on the plateform after 2015. The current usage metrics is available 48-96 hours after online publication and is updated daily on week days.
Initial download of the metrics may take a while.