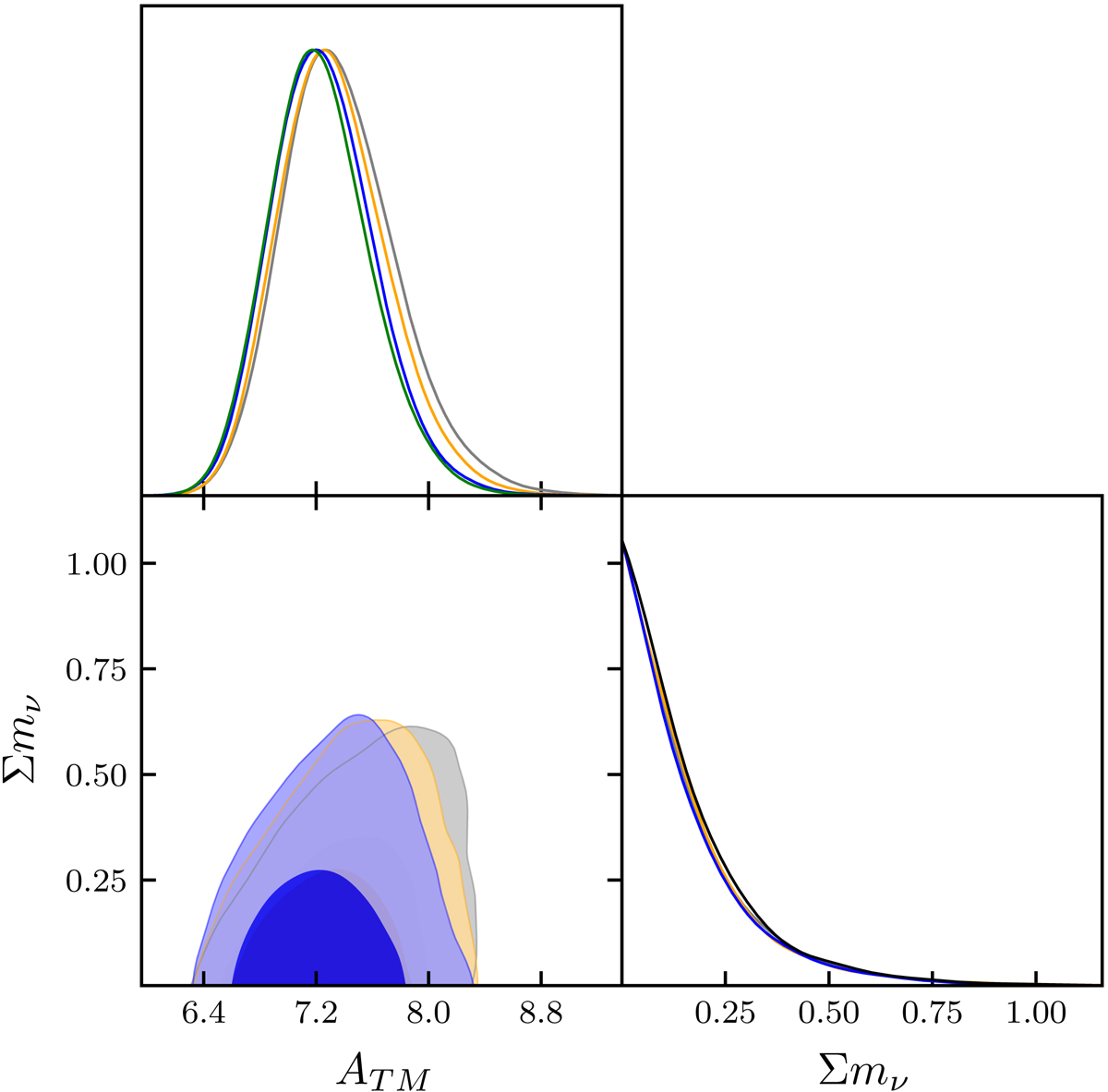
Fig. 6.

Confidence contours (68/95%) and posterior distributions for the AT − M and ∑mν parameters, using the D16 mass function and Mvir cluster mass definition. Three choices of neutrino prescription are shown: CDM prescription (blue), no prescription (yellow), and matter prescription (grey). The same conventions for the green and black posteriors are used as in Fig. 5.
Current usage metrics show cumulative count of Article Views (full-text article views including HTML views, PDF and ePub downloads, according to the available data) and Abstracts Views on Vision4Press platform.
Data correspond to usage on the plateform after 2015. The current usage metrics is available 48-96 hours after online publication and is updated daily on week days.
Initial download of the metrics may take a while.