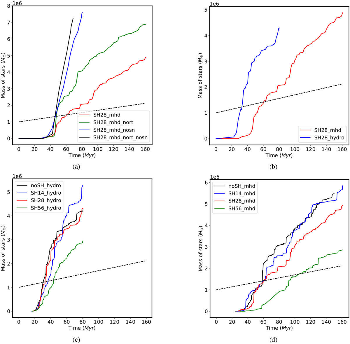
Fig. 7

Total mass of stars formed over time for different simulations with different physical parameters. The slope of the dashed line is the observed SFR for our Σgas (Kennicutt & Evans 2012). Top-left panel: importance of the two types of feedback. Top-right panel: importance of magnetic field. Bottom panels: illustrate the importance of the shear. Altogether we see that there is no dominant effect but instead all physical processes, namely, feedback by supernovae, ionising radiation, magnetic field, and shear, all contribute appreciably to reduce the SFR.
Current usage metrics show cumulative count of Article Views (full-text article views including HTML views, PDF and ePub downloads, according to the available data) and Abstracts Views on Vision4Press platform.
Data correspond to usage on the plateform after 2015. The current usage metrics is available 48-96 hours after online publication and is updated daily on week days.
Initial download of the metrics may take a while.