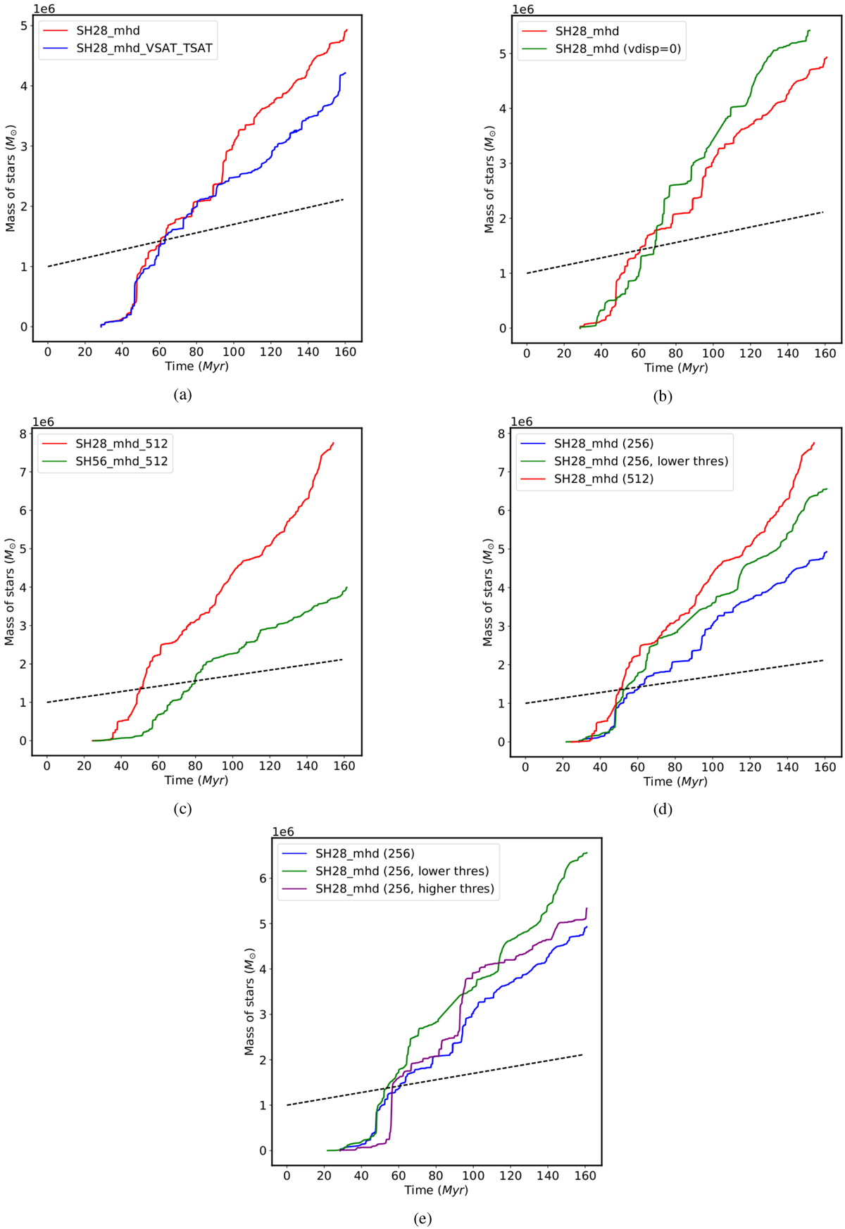
Fig. 9

Same as Fig. 7 but showing the influence of numerical parameters. Panels a, b: SFR does not really depend on the limitations on velocity and temperature of the gas and on the velocity of the massive stars in the sink particles. Panel c: influence of the shear on simulations at higher resolution. Panels d, e: star formation depends on the density threshold of the sink particles, giving a numerical incertitude factor of approximately two on the SFR.
Current usage metrics show cumulative count of Article Views (full-text article views including HTML views, PDF and ePub downloads, according to the available data) and Abstracts Views on Vision4Press platform.
Data correspond to usage on the plateform after 2015. The current usage metrics is available 48-96 hours after online publication and is updated daily on week days.
Initial download of the metrics may take a while.