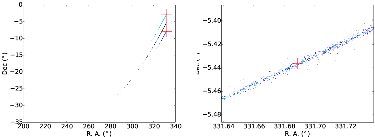
Fig. 2.

Left panel: spread on the sky after two days of propagation for an object with three transits. Black points represent the spreading of the orbits according to the old data model, blue points according to the new data model, turquoise points are validation points from OpenOrb, and the red cross is the correct position according to JPL Horizons. The points for the new data model and validation are shifted in declination for illustration purposes. Right panel: magnification of spread across the line of variation. The width of the spread is around 20″.
Current usage metrics show cumulative count of Article Views (full-text article views including HTML views, PDF and ePub downloads, according to the available data) and Abstracts Views on Vision4Press platform.
Data correspond to usage on the plateform after 2015. The current usage metrics is available 48-96 hours after online publication and is updated daily on week days.
Initial download of the metrics may take a while.