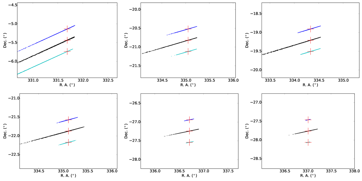
Fig. 3.

Comparison of the distribution of sky positions after two days of propagation for asteroids with a different number of transits (From left to right and from top to bottom panels: 3, 4, 5, 6, 9, 12). The scale is the same for all cases. Black points represent the spreading of the orbits according to the old data model, blue points according to the new data model, turquoise points are validation points from OpenOrb, and the red cross is the correct position according to JPL Horizons. The points for the new data model and validation are shifted in declination for illustration purposes. For the three-transit case, the real spread along the line of variation does not fit on the same scale with other cases. The spread is in the order of 15° for the new data model and 60° for the old data model (Fig. 2 left).
Current usage metrics show cumulative count of Article Views (full-text article views including HTML views, PDF and ePub downloads, according to the available data) and Abstracts Views on Vision4Press platform.
Data correspond to usage on the plateform after 2015. The current usage metrics is available 48-96 hours after online publication and is updated daily on week days.
Initial download of the metrics may take a while.