Free Access
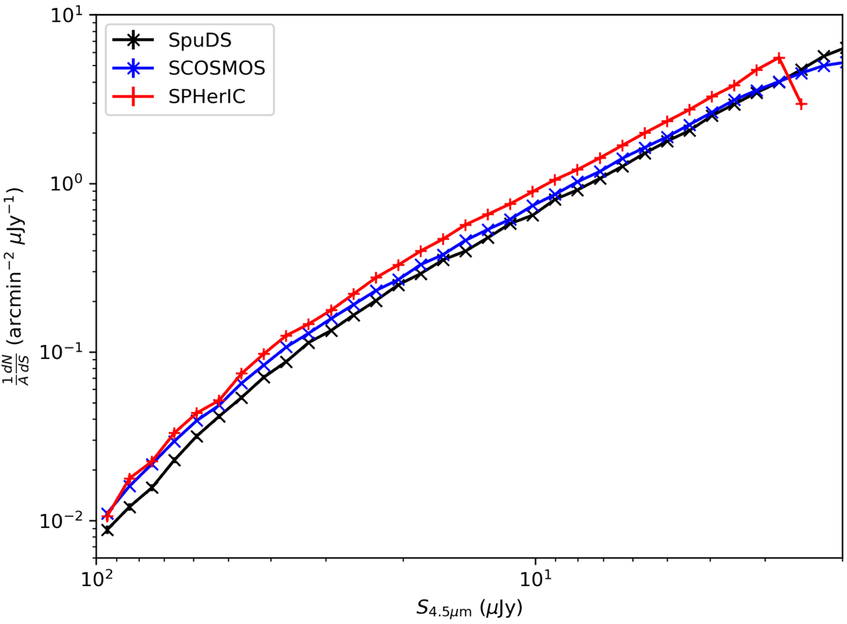
Fig. 3.

Differential number counts for sources detected at 4.5 μm in our SPHerIC survey (red line) compared to the SpUDS (black line) and SCOSMOS (blue line) results. Error bars are computed using Poissonian statistics and do not take cosmic variance into account.
Current usage metrics show cumulative count of Article Views (full-text article views including HTML views, PDF and ePub downloads, according to the available data) and Abstracts Views on Vision4Press platform.
Data correspond to usage on the plateform after 2015. The current usage metrics is available 48-96 hours after online publication and is updated daily on week days.
Initial download of the metrics may take a while.