Free Access

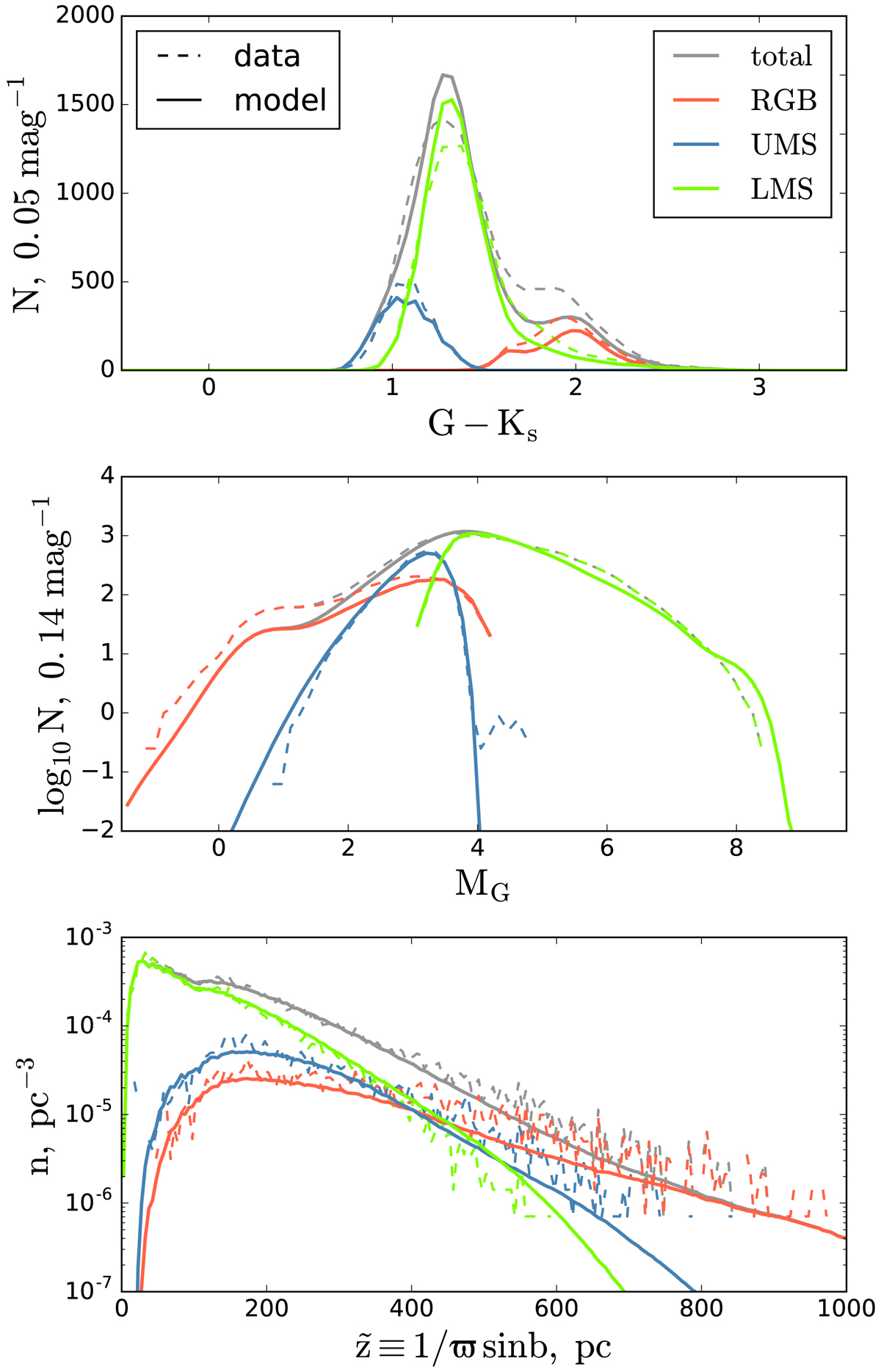
Fig. 11.

image

UMS, LMS, and RGB stars studied separately. Top: colour distributions as observed and modelled for the whole local cylinder. Middle: luminosity functions for the same three populations. Bottom: stellar number densities as functions of observed height. The grey line corresponds to the red curve in Fig. 6.

Current usage metrics show cumulative count of Article Views (full-text article views including HTML views, PDF and ePub downloads, according to the available data) and Abstracts Views on Vision4Press platform.

Data correspond to usage on the plateform after 2015. The current usage metrics is available 48-96 hours after online publication and is updated daily on week days.

Initial download of the metrics may take a while.