Free Access
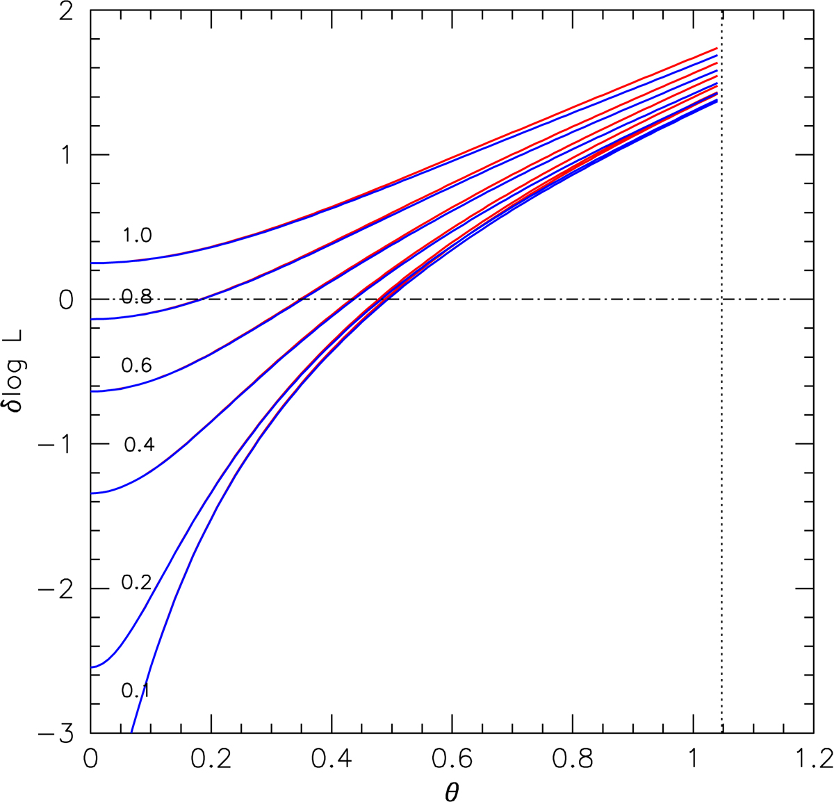
Fig. 17.

Luminosity difference between virial and concordance cosmology determinations, , for different κ values. The blue lines refer to the absence of limb darkening (β = 0) while the red ones are computed for β = 2. For κ = 0.1 the red line computed for β = 2 is fully superimposed on the one for β = 0.
Current usage metrics show cumulative count of Article Views (full-text article views including HTML views, PDF and ePub downloads, according to the available data) and Abstracts Views on Vision4Press platform.
Data correspond to usage on the plateform after 2015. The current usage metrics is available 48-96 hours after online publication and is updated daily on week days.
Initial download of the metrics may take a while.