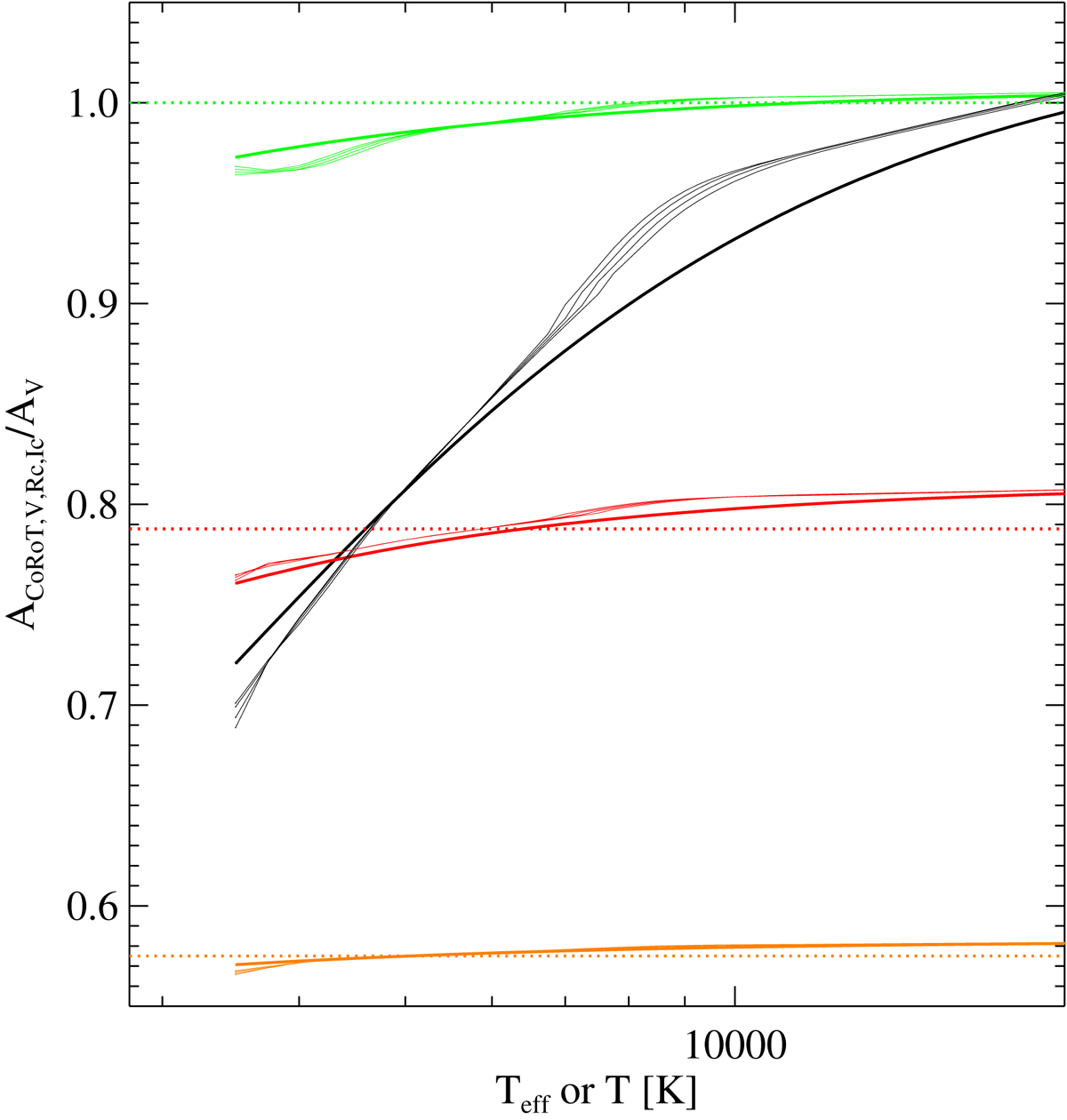
Fig. A.1.

Extinction laws for the CoRoT band (in black) and for the V, Rc, and Ic optical filters (green, red, and orange, respectively). The thin lines show the variation of A(band)/AV with effective temperature for the stellar-like spectra with log g between 3.0 and 4.5. Thicker lines show the trend of A(band)/AV with temperature for black body spectra.
Current usage metrics show cumulative count of Article Views (full-text article views including HTML views, PDF and ePub downloads, according to the available data) and Abstracts Views on Vision4Press platform.
Data correspond to usage on the plateform after 2015. The current usage metrics is available 48-96 hours after online publication and is updated daily on week days.
Initial download of the metrics may take a while.