Table 1
Extinction properties measured in the sightlines towards M17.
Identifier | Sp.type | B | V | Ka | RV | RV | AV | AV | E(B–V) | E(B–V) | AK |
---|---|---|---|---|---|---|---|---|---|---|---|
mag | mag | mag | SED | Fitzp. | SED (mag) | V − V0 | SED | ![]() |
mag | ||
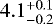
B111 | O4.5 V | 12.24b | 11.21b | 7.475 | ![]() |
3.86 | ![]() |
5.17 | 1.47 ± 0.13 | 1.35 | 0.50 |
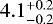
B164 | O6 Vz | 16.85c | 15.41c | 8.758 | ![]() |
4.87 | ![]() |
9.03 | 2.2 ± 0.10 | 1.76 | 1.44 |
B215 | B0-B1 V | − | 16.10d | 10.00 | ![]() |
− | ![]() |
8.17 | 1.85 ± 0.06 | − | 1.15 |
B243 | B8 V | 19.10c | 17.80c | 9.544 | ![]() |
4.64 | ![]() |
6.52 | 1.82 ± 0.22 | 1.41 | 0.72 |
B253 | B3-B5 III | 17.11c | 15.74c | 10.31 | ![]() |
4.29 | ![]() |
6.22 | 1.59 ± 0.06 | 1.52 | 0.41 |
B268 | B9-A0 | 18.40c | 17.10c | 9.494 | ![]() |
3.47 | ![]() |
4.71 | 1.75 ± 0.25 | 1.34 | 0.52 |
B275 | B7 III | 17.02c | 15.55c | 7.947 | ![]() |
3.35 | ![]() |
5.44 | 1.77 ± 0.26 | 1.59 | 0.61 |
B289 | O9.7 V | 16.97c | 15.55c | 9.178 | ![]() |
4.80 | ![]() |
8.13 | 2.23 ± 0.17 | 1.73 | 0.78 |
B311 | O8.5 Vz | 14.99c | 13.69c | 8.884 | ![]() |
4.00 | ![]() |
6.51 | 1.85 ± 0.11 | 1.62 | 0.71 |
B331 | late-B | − | 20.10c | 8.946 | ![]() |
− | ![]() |
− | 2.89 ± 0.13 | − | − |
B337 | late-B | − | − | 9.343 | ![]() |
− | ![]() |
− | 3.66 ± 0.25 | − | − |
Notes. Column 1 lists the star’s identifier, Col. 2 the spectral type as reported in Paper I. Columns 3–5 show the B, V, and K-band magnitudes,respectively. Columns 6, 8, and 10 list the extinction parameters (RV, AV, and E(B–V) = AV∕RV) derived by fitting the spectral energy distribution to Kurucz models. We list the RV and AK values derived using Eq. (1) (see Sect. 3 for more information on objects with circumstellar disks) in Cols. 7 and 12. Column 9 lists the V -band excess AV, and Col. 11 shows the colour excess (B − V)-(B − V)0, where the intrinsic colour (B − V)0 is taken from Pecaut & Mamajek (2013) and Wegner (2000, 2014). (a) 2MASS catalogue (Cutri et al. 2003).(b)AAVSO Photometric all sky survey (APASS) catalog: https://www.aavso.org/apass (c) Chini et al. (1980). (d) Hoffmeister et al. (2008).
Current usage metrics show cumulative count of Article Views (full-text article views including HTML views, PDF and ePub downloads, according to the available data) and Abstracts Views on Vision4Press platform.
Data correspond to usage on the plateform after 2015. The current usage metrics is available 48-96 hours after online publication and is updated daily on week days.
Initial download of the metrics may take a while.