Free Access

Fig. 1.

image

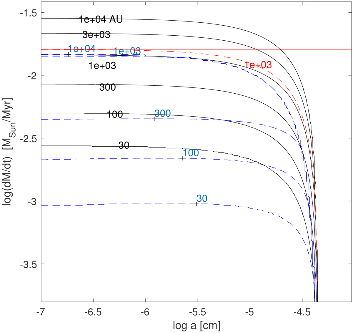
The “allowed” parameter space (under each curve) for dust grains with radius a that may exist around a star at a certain distance (indicated in AU at each curve) without being accreted to the star by gravity and friction from the in-falling gas with different accretion rates . The full lines correspond to cases with neutral grains while dashed blue curves indicate corresponding cases with electrically charged grains. The approximate upper limit on a, according to Eq. (9), is indicated by a vertical red line, while the approximate upper limit on dM/dt for a distance from the star of 103 AU, according to Eq. (10), is indicated by a horizontal red line. Also shown is the approximate critical radius rc as calculated by Eq. (11) as a dashed red curve. The fair agreement between the approximate (in red) and the more exact (black) curves is due to the fact that the quadratic term in the dependence of the friction force on drift speed, cf. Eq. (2), is indeed dominating, as assumed in the approximations. The reduction of the “allowed” accretion rates for the charged grains relative to the corresponding cases with neutral ones is obvious.

Current usage metrics show cumulative count of Article Views (full-text article views including HTML views, PDF and ePub downloads, according to the available data) and Abstracts Views on Vision4Press platform.

Data correspond to usage on the plateform after 2015. The current usage metrics is available 48-96 hours after online publication and is updated daily on week days.

Initial download of the metrics may take a while.