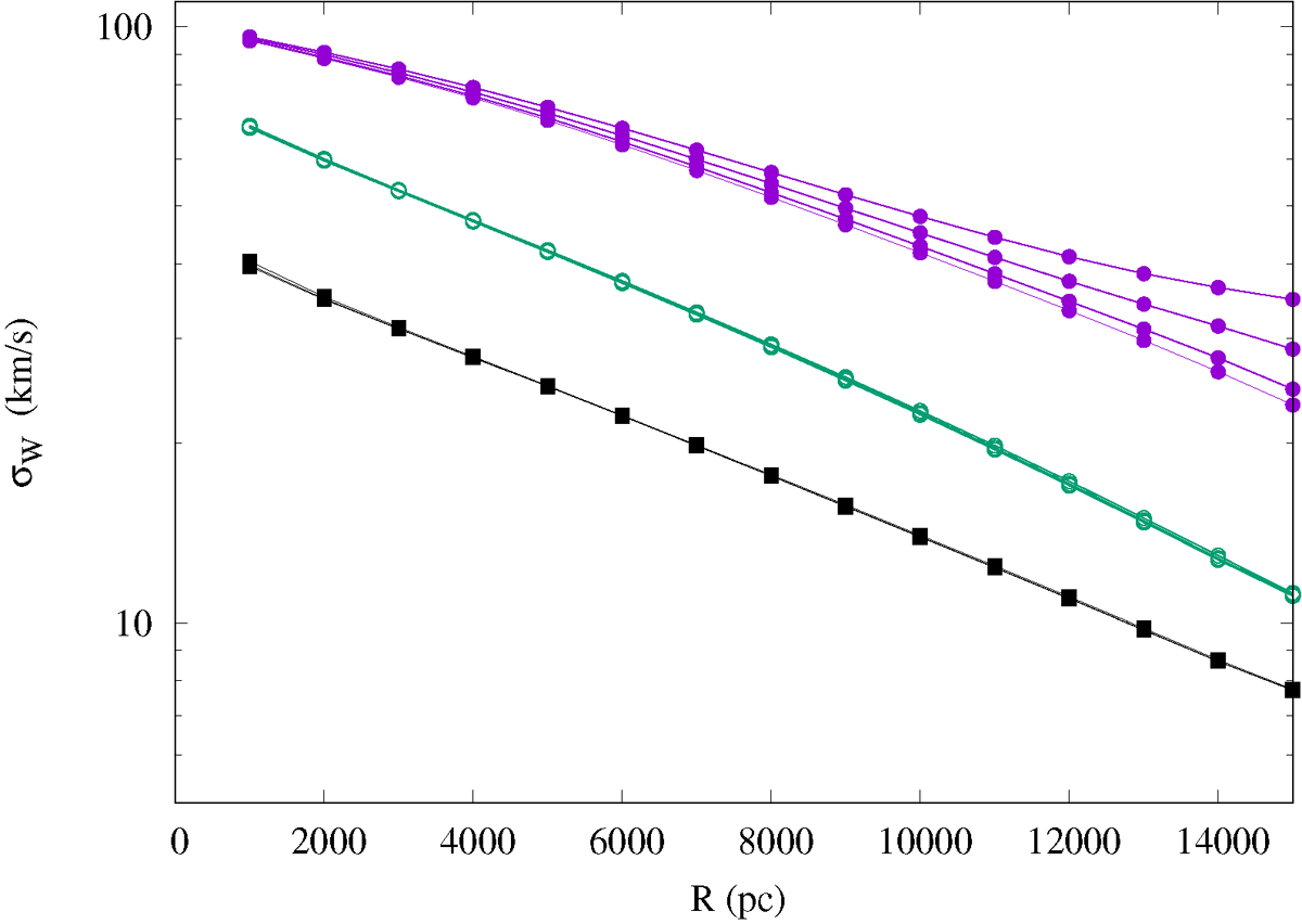
Fig. 4.

σW vertical velocity dispersions for the old thin disc (black lines) and the young thick disc (green lines) at z = 0, 200, 400, and 600 pc. For the old thick disc (purple lines) at z = 0, 0.8, 1.6, and 2.4 kpc, σW does not change with z for the old thin disc or the young thick disc, but for the old thick disc, σW, and RσW increase with z.
Current usage metrics show cumulative count of Article Views (full-text article views including HTML views, PDF and ePub downloads, according to the available data) and Abstracts Views on Vision4Press platform.
Data correspond to usage on the plateform after 2015. The current usage metrics is available 48-96 hours after online publication and is updated daily on week days.
Initial download of the metrics may take a while.