Free Access

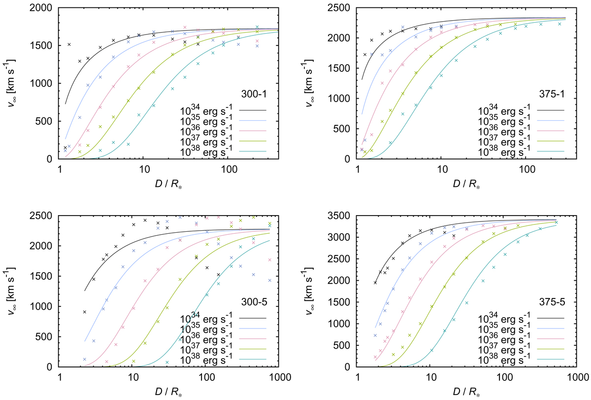
Fig. A.1.

image

Dependence of the terminal velocity on the binary separation for models from Table 1 with clumping after Eq. (6) for different X-ray luminosities (crosses). Overplotted is the corresponding fit Eq. (14) for different values of LX.

Current usage metrics show cumulative count of Article Views (full-text article views including HTML views, PDF and ePub downloads, according to the available data) and Abstracts Views on Vision4Press platform.

Data correspond to usage on the plateform after 2015. The current usage metrics is available 48-96 hours after online publication and is updated daily on week days.

Initial download of the metrics may take a while.